(3)線路保護、失靈保護跳閘壓板均投入,短接電流、電壓閉鎖接點,用一付延時打開的常閉接點模擬線路保護動作、開關滅弧、保護返回時間,調整該接點時間觀察保護動作情況,試驗接線如圖3所示,試驗結果列于表3。
表3 模擬測試結果
?
次數 ZJ延時
時間/ms 動作情況?????????????????????????????????? 備注
1 80???? 開關跳閘,失靈瞬時信號未發出?
2 88???? 開關跳閘,失靈瞬時信號未發出???? 做5次
3 98???? 開關跳閘,失靈瞬時信號未發出???? 第1次
98??? 開關跳閘,失靈瞬時延時信號發出? 第2次
4 102?? 開關跳閘,失靈瞬時延時信號發出
5 168?? 開關跳閘,失靈瞬時延時信號發出

圖3 模擬試驗接線
Fig.3 Scmulation test connection
從表1、表2可以看出,銀川變失靈保護瞬時出口比線路保護經分相操作箱出口慢大約100 ms。從表3可以看出,如跳閘接點TJa閉合時間超過98 ms,失靈保護的瞬時跳閘回路將動作,當電流、電壓閉鎖接點不能返回時,則形成自保持,此時即使線路保護跳閘接點TJa返回,失靈保護仍然動作,一直到延時信號出口。以上測試結果可以從銀川變1994年12月31日線路故障,失靈保護誤動作的故障錄波圖上得到證實。
1994年12月31日,銀川變的220 kV武銀乙線發生C相斷線永久性接地故障,兩側線路保護動作正確。從故障錄波圖上可以看到,銀川變426開關故障后70 ms將武銀乙線C相斷開,重合閘動作,重合在故障上,經105 ms將武銀乙線三相跳開,武銀乙線三相跳開后340 ms銀川變失靈保護誤動作將220 kV母聯開關跳開,經過560 ms將武銀乙線所在的Ⅱ母上的所有元件跳開。
第一次故障70 ms切除,減去線路保護動作時間10 ms(零序Ⅰ段按說明書要求<10 ms),小于失靈保護瞬時出口需要延時98 ms,因此,失靈保護瞬時跳閘沒有出口,重合閘進行了重合。重合以后,105 ms將故障切除,從此105 ms中減去線路保護動作時間10 ms,再加上返回時間7 ms,TJ節點閉合時間有可能超過102 ms,因該閉合時間大于失靈保護瞬時出口要求的98 ms,因此失靈保護瞬時跳閘出口 動作,并與線路保護一起去起動永跳繼電器TJR,當銀川變失靈保護電流、電壓閉鎖接點由于粘住等原因不能返回時,將形成圖2所示的自保持回路,此時雖然線路故障已被切除,線路保護已返因,但失靈保護仍處于動作狀態,一直到將母聯開關及Ⅱ母上所有元件切除。
4 失靈保護的改進意見
(1)失靈保護的瞬時跳閘改為延時跳閘
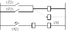
考慮當線路發生故障,線路保護正確動作,但開關拒動時,即使失靈保護瞬時跳閘動作,開關仍然不能跳開。當線路保護拒動,開關正常時,因為沒有起動元件,失靈瞬時跳閘回路將無法動作,因此,該回路瞬時跳閘意義不大,建議改為延時跳閘,如圖4所示。

圖4 失靈保護瞬跳加延時回路
瞬時跳閘回路的延時時間1SJ應大于T1、T2、T3和T4時間之和。T1為繼電器TJa、TJb、TJc、TJR、TJQ經操作箱發出跳閘命令的時間;T2為開關跳閘及滅弧的時間;T3為保護返回時間;T4為繼電器TJa、TJb、TJc、TJR和TJQ的返回時間。
建議寧夏電網統一增加100 ms延時,加上原來的固有延時約100 ms,因此,瞬時跳閘回路的總延時約200 ms,遠大于要求時間。
(2)為了避免失靈保護形成自保持回路,失靈保護的出口由接分相操作箱的TJR端子改為接手跳端子STJ,如圖5所示。

圖5 失靈保護經手跳端子跳閘
(3)電磁式電流繼電器應改型
由于電流繼電器的定值要考慮在最小運行方式下有足夠的靈敏度,因此定值較小,在大方式或某些方式下可能頻繁起動,電磁式電流繼電器振動比較厲害,容易出現機械故障(銀川變失靈保護誤動作,其故障相C相的電流繼電器接點粘住,不能返回,檢查其它線路電流繼電器也發現有不同程度的機械損壞),因此,在加強失靈保護電流判別元件維護的同時,應將電磁式電流繼電器更換為適當的靜態電流繼電器。
(4)母差和失靈保護的電壓閉鎖元件分開,不共用
①應實測不平衡電壓,定值應可靠躲過。
②低電壓繼電器按部頒反措更換為無抖動接點繼電器。
③為提高保護的安全性,應將母差和失靈保護的電壓閉鎖元件分開,不能共用。
變電站運行工崗位風險告知卡
高風險作業風險評估方案
電氣設備的粉塵防爆
雜散電流的防治安全技術措施
電氣防火防爆技術知識手冊
觸電防護技術知識手冊
架空管路拆除安全技術措施
低壓配電作業風險點告知卡
車間安全生產注意事項
配電箱安裝及使用安全要求
保證電力施工現場作業安全的組織措施…
怎樣進行線損分析
防臺防汛安全措施
焊接立焊時的操作方法
跌落式熔斷器的正確操作方法
在電氣設備上工作 保證安全的技術措施