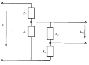
???? 圖4 有重復接地的保護接零
???? 假設按上述方法,將零線的導電能力提高到相線導電能力的一倍即零線阻抗為相線阻抗的1/2,則零線上的壓降U L為:
????

???? 圖5 簡化電路
???? 
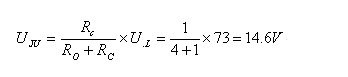
???? 設RO=4歐姆;RC=1歐姆,則設備外殼所帶電壓UJC為
???? 
????式中:U——電源相電壓;
???? U L——零線電壓降;
???? UJC——接觸電壓;
???? ZX——相線阻抗;
???? ZL——零線阻抗;
???? RO——電網工作接地電阻;
???? RC——重復接地電阻。
???? 說明:由于有RO、RC與零線并聯,因此,U L 與UJC還應該低一些,如進一步加大零線導電能力,效果更加顯著。若按現行標準不加改造,那么UL與UJC都將在100V以上。
????5.2加強等電位措施
???? 對“危險場所”采取接地體等電位措施,實現等電位環境,最大限度地減少或消除危險情況下的接觸電壓,除按現行相關標準實施外,另重申并要求以下部位做接地連接:
????(1) 水池構筑物的所有金屬部件,包括構筑物內部鋼筋。
????(2) 與水池循環、加熱系統有關的電氣設施金屬外殼。
????(3) 與噴泉循環系統有關的所有電氣設施金屬外殼。
????(4) 與電力排灌設備有關的所有電氣設施金屬外殼。
????(5) 安全隔離變壓器的金屬外殼及鐵心。
????(6) 與水中壁龕燈具相關的全部電氣設施金屬外殼。
????(7) 各供、用電系統配電盤、操作盤的金屬外殼。
????(8) 全部金屬構筑物及管線。
變電站運行工崗位風險告知卡
高風險作業風險評估方案
電氣設備的粉塵防爆
雜散電流的防治安全技術措施
電氣防火防爆技術知識手冊
觸電防護技術知識手冊
架空管路拆除安全技術措施
低壓配電作業風險點告知卡
車間安全生產注意事項
配電箱安裝及使用安全要求
保證電力施工現場作業安全的組織措施…
怎樣進行線損分析
防臺防汛安全措施
焊接立焊時的操作方法
跌落式熔斷器的正確操作方法
在電氣設備上工作 保證安全的技術措施