??? 火災損失估算建立在熱輻射強度與損失等級的相應關系上,池火災傷害數學模型分析法介紹了不同熱輻射強度造成傷害和損失的關系,其關系見表2。

???? 根據前面計算所得I值,對照表1,可得出如下結論:
??? 汽油罐區東北方向25m處的加壓泵房將被燒毀,人員在1rain內不及時撤離,將會造成全部死亡;而西北方向100m處的鍋爐房,幾乎不受影響。同時也驗證了半徑在37.85m內的設施和人員將嚴重被破壞和燒傷。半徑在37.85~55m以內的設施和人員也將受到不同程度損傷,半徑在55—85m以內的設施和人員會受到輕微損傷。半徑在85m以外的設施和人員幾乎不受影響。該評價結論和道化學方法的評價結論基本吻合,但又進一步進行了廣泛分析。
2.3? 火災、爆炸原因事故樹分析
??? 事故樹評價最突出的優點是可以評價出事故發生的概率和找出事故的直接原因事件,并可以分析出事故的潛在原因事件。由于事故的直接原因事件概率不易統計,所以目前一般不作事故概率計算,但可以進行定性分析,找出事故原因事件,這是十分重要的。汽油罐區的火災爆炸事故樹見圖1。評價分析如下:

?①結構函數式:
?T=ABa

②最小割集
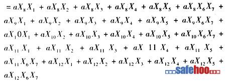
??? 通過分析該事故樹12個基本事件,可以得出下列30個最小的割集:

③結構重要度分析
??? 根據以上結果,運用結構重要度近似判別式,可以計算出12個基本事件和1個條件事件的結構重要度系數。計算結果如下:

??? 由圖1事故樹分析町知,火源與達到爆炸極限的混合油氣構成了油罐區燃爆事故發生的要素。條件事件a(達到爆炸極限濃度)結構重要系數最大,是燃爆事故發生的最重要條件,這就要求采取針對措施,如在儲罐附近安裝氣體報警裝置.對混合氣濃度進行監測,一旦接近危險濃度即行報警,使管理人員立刻采取預防措施,可避免事故發生。構成油品泄漏的基本事件結構重要度次之,由此可知,油罐的密封是否良好在防上燃爆事故發生中占據著十分重要的地位。另外,加強油罐區安全管理,嚴禁吸煙和動用明火,防上鐵器撞擊,防止產生靜電火花以及罐區內電氣設備要符合防火防爆要求等,也是防止燃爆事故發生的必要條件。
3? 結論
??? 對于重大事故的安全評價,如果只采用一種方法來分析,往往帶有局限性和片面性,如果結合評價方法的特點、使用范圍和應用條件,對危險因素從不同角度,采用不同的評價方法進行評價分析,評價結論比較完整和全面。通過不同的評價方法進行評價,即可以對事故的風險進行定量評估,又能定性的找出導致事故發生的直接原因事件,從而有針對性的制定安全對策措施,最大限度地避免事故發生。
??? 以上通過汽油儲罐區的火災爆炸事故案例,對易燃易爆液體儲罐區火災爆炸事故的評價方法選擇和評價過程的介紹可以看出,對于易燃易爆液體儲罐區火災爆炸事故的評價,首先應采用美國道化學公司的火災爆炸危險指數法,評價出火災爆炸事故的影響范圍;其次利用池火災傷害數學模型分析法,評價出事故對周圍設施和人員的損傷程度,同時還可以對前述道化學方法的評價結論進行驗證;最后建立火災爆炸事故樹,分析該事故發生的概率(必須有基本原因事件發生的記錄或經驗概率值)和找出導致火災爆炸事故發生的基本原因事件,并求出各原因事件的主次作用,為安全對策措施的輕重緩急排序提供科學依據。
鞭炮煙花有限公司倉儲庫房建設項目安…
爆破項目民用爆炸物品儲存庫安全現狀…
爆破工程有限責任公司民用爆炸物品儲…
爆破工程有限公司民用爆炸物品儲存庫…
爆破工程公司民用爆炸物品儲存庫新建…
爆破工程公司民用爆炸物品儲存庫安全…
半導體公司安全現狀評價報告
民用爆炸物品儲存庫安全現狀評價報告
加油站安全現狀評價報告
職業病危害(職業衛生)預評價報告書
加油站評價報告
加油站風險評價報告
重大危險源安全評價報告
氧氣瓶安全風險事故樹分析
學校安全風險評估報告
淺述雙氧水生產過程危害評價及對策