1? 概述
??? 易燃易爆液體作為原料或產品普遍存在于化工生產過程中,因此,大部分化工企業普遍分布著或大或小的易燃易爆液體儲罐區。如石化生產企業的石腦油、乙烷、甲醇、乙醇、汽油、丙酮等儲罐區;儲存企業的石油庫、危險化學品倉庫等儲罐區。由于易燃易爆液體儲存構成危險源的臨界量僅20t,因此上述儲罐區一般都屬于重大危險源。這些場所。事故發生的風險值高,波及面廣,事故后果嚴重,必須重點進行安全評價。
??? 大量事故案例表明,火災爆炸事故是易燃易爆液體儲罐區多發事故,究其原因,主要是易燃易爆液體本身固有的危險性以及儲存設施不健全柑安全管理不利造成的。
??? 對一個系統的安全評價,要想使得出的結論準確、清晰、全面,就必須選擇恰當的評價方法。目前已開發出數十種安全評價方法,由于每種評價方法均具有不同的特點和不同的適用范圍,因此,如果評價方法選擇不當,就可能得出不切合實際的評價結論。
??? 對一種可能發生的事故不但要知道其后果,而且要查明引起事故發生的直接原因,只有這樣,對其評價才有意義。因此,針對易燃易爆液體儲罐區的火災爆炸事故,應從事故后果的嚴重程度、事故發生的概率以及導致事故發生的直接原因三方面人手進行評價,得出的結論才算完整。對易燃易爆液體儲罐區的火災爆炸事故進行定量評價,要綜合各種評價方法的特點和實用性,如采用美國道化學公司的火災、爆炸危險指數法,可以評價出火災爆炸事故發生后的影響范圍,即暴露區域面積,并可以計算出暴露區域的財產和停工損失;還可以采用池火災傷害數學模型分析法,從另一角度評價事故發生后其熱輻射強度對周圍設施、人員的傷害程度。采用這2種評價方法同時進行定量評價,可以從不同角度評判事故發生后的嚴重程度,并可以相互印證其評價結果的準確性。利用道化學和池火災傷害數學模型分析法定量分析事故的影響范圍和傷害程度后,還要尋找一種方法,評價導致事故發生的直接原因和求出事故發生的概率,事故樹分析法最具上述特點。因此,可利用事故樹分析法評價分析易燃易爆液體儲罐區的火災爆炸事故原因。通過采用上述3種安全評價方法,對易燃易爆液體儲罐區火災爆炸事故從不同角度進行評價,基本可以得出全面、清晰、準確的評價結論。
??? 下面以某瀝青廠汽油儲罐區的安全評價為例,采用以上3種方法對易燃易爆液體儲罐區的火災爆炸事故進行分析。
2? 實例分析
??? 某瀝青廠輕質油罐區的防火堤長105m、寬64m,防火堤內有8個3000m3儲罐。其中2個汽油儲罐,6個柴油儲罐,防火堤中間的隔堤將2個汽油儲罐和2個柴油儲罐分割為一個區域。汽油泄漏易引起火災爆炸事故,而且事故后果很嚴重,本文以汽油泄漏引起的火災爆炸事故進行安全評價。
? 2.1? 火災、爆炸危險指數評價法
??? 采用道化學公司(DOW)火災、爆炸危險指數評價法(第7版),確定火災、爆炸的影響范圍。下面所有參數取值均來自該方法對應的參數取值表,由于篇幅受限,表格略。
??? ①物質系數MF的選取:查物質系數和特性表,MF取16。
??? ②一般工藝危險系數9,的選取:包括“基本系數、防熱反應、吸熱反應、物料處理與輸送、封閉單元或室內單元、通道以及排放和泄漏控制”7個取值項。對應的取值分別為:1、0、0、0.85、0.45、0、0.50。F1為7個取值之和,F1取2.80。
??? ③特殊工藝危險系數F2的選取:包括基本系數、毒性物質、負壓操作、粉塵爆炸、壓力釋放等13個取值項。就汽油儲罐各項取值為:1、0.2、0、0.50、0、0.2、0、1.2、0.1、0.1、0、0、0。F2為13個取值項之和,F2取3.30。
??? ④單元危險系數F3的計算:單元危險系數F3的值為一般工藝危險系數廠,與特殊工藝危險系數F2的乘積。計算F3為9.24。
??? ⑤火災、爆炸指數F&EI的計算:火災、爆炸危險指數F&EI是工藝單元危險系數F3和物質系數MF的乘積。計算F&EI為147.84。查該方法相應的火災、爆炸指數與危險等級的對應關系表,得出,汽油儲罐一旦發生火災爆炸事故,其危險等級屬于很大。
??? ⑥爆炸影響半徑計算:爆炸半徑計算公式為:
?? R=0.256x(F&E1)=0.256x147.84=37.84m。
??? ⑦爆炸影響面積計算:爆炸影響面積
??? S=3.14R2=4498.43m2。
??? 由于事故影響范圍內的財產價值估汁有困難,所以一般只評價到影響面積即可。
??? ⑧安全措施補償:安全措施可以分為3類,分別為工藝控制、物質隔離和防火措施。查安全措施補償系數表,經過計算,采取補償措施后,汽油儲罐發生火災爆炸事故的損失可以降低到未采取安全措施損失的70%。
? 2.2? 池火災傷害數學模型分析法
??? 采用池火災傷害數學模型分析法進—步確定影響程度,被評價的汽油罐區防火堤長105m、寬32m、高約1.2m。罐體一旦破裂或操作失誤外溢,液體將立即沿著地面擴散,將一直流到防火堤邊,形成液池。遇明火將形成池火。
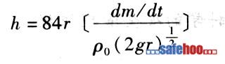
?①池火火焰高度計算式中:?

??? h——火焰高度,m;
??? r--液池當量園半徑,
??? r=(105X32/3.14)0.5=31.71m;??? .
??? Po——周圍空氣密度,p0=1.293kg/m3;(標準狀態);
??? g——重力加速度,9.8m/s2;
??? dm/dt——燃燒速度,dm/dt=0.086kg/m2·s(查可然液體燃燒速度表)。
??? 經計算,池火燃燒火焰高度h=77.74m。

??? ③目標入射熱輻射強度
??? 距離池中心某一距離(x)處的入射熱輻射強度為:

式中:?????
????? 1——熱輻射強度,W/m2;
????? Q——總熱輻射通量,w;
????? tc——熱傳導系數,取值為1;
????? x——目標點到液池中心距離,m。
??? 汽油罐區東北25m處為加壓泵房系統,西北100m處為廠區鍋爐房,其余鄰面無設施,因此取x=25、lOOm計算I值。為了進一步查明其影響范圍程度以及驗證前述道化學方法評價結淪的準確性,再取x=30、37.85、45、55、65、75、85、100計算其對應的I值。計算結果見表1。

???? 火災損失:火災通過熱輻射方式影響周圍環境。當火災產生的熱輻射強度足夠大時,可使周圍的物體燃燒或變形,強烈的熱輻射可能燒毀設備甚至造成人員傷亡等。
鞭炮煙花有限公司倉儲庫房建設項目安…
爆破項目民用爆炸物品儲存庫安全現狀…
爆破工程有限責任公司民用爆炸物品儲…
爆破工程有限公司民用爆炸物品儲存庫…
爆破工程公司民用爆炸物品儲存庫新建…
爆破工程公司民用爆炸物品儲存庫安全…
半導體公司安全現狀評價報告
民用爆炸物品儲存庫安全現狀評價報告
加油站安全現狀評價報告
職業病危害(職業衛生)預評價報告書
加油站評價報告
加油站風險評價報告
重大危險源安全評價報告
氧氣瓶安全風險事故樹分析
學校安全風險評估報告
淺述雙氧水生產過程危害評價及對策