3 基于3種控制溫差的管道工作狀態分區
??? 以設計壓力為1.6MPa、管徑為DN 1000mm的直埋管道為例,常見壁厚范圍內的3種控制溫差見圖5。由圖5可知3種控制溫差的相對關系,管道的工作狀態被劃分為6個區域(Ⅰ~Ⅵ區)。本文對每個區域管道的工作狀態進行分析。
?

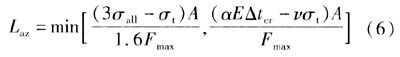
???①Ⅰ區(管道循環溫差△t>△tmax)
在該區域內,管道循環溫差高于最大允許循環溫差,因此不允許管道進入錨固狀態,且在計算安裝長度時,需考慮彈性狀態和局部穩定的需要,得到管道的最大允許安裝長度,見式(6)。
?

式中Laz——最大允許安裝長度,m
??? A——直埋管道的截面積,m2
??? Fmax——土壤與單位長度預制直埋管道保溫管外殼的最大摩擦力,N/m
???土壤與單位長度預制直埋管道保溫管外殼的摩擦力計算見式(7)。當λ取最大摩擦系數時,得到土壤與單位長度預制直埋管道保溫管外殼的最大摩擦力Fmax;當λ取最小摩擦系數時,得到土壤與單位長度預制直埋管道保溫管外殼的最小摩擦力Fmin。
??? F=ρgDcπλ(h+Dc/2)??? (7)
式中F——土壤與單位長度預制直埋管道保溫管外殼的摩擦力,N/m
??? ρ——土壤密度,kg/m3
??? g——重力加速度,m/s2
??? Dc——預制直埋管道保溫管外直徑,m
??? λ——摩擦系數
??? h——管頂埋深,m
??? ② Ⅱ區(△ty<△t<△tmax,△tcr<△ty)
管道循環溫差位于最大允許循環溫差和屈服溫差之間,但是由于此時局部穩定控制循環溫差小于屈服溫差,因此仍不允許進入錨固狀態,管道的最大允許安裝長度計算見式(8)。
?

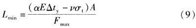
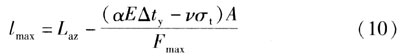
???③ Ⅲ區(△tcr<△t<△tmax,△ty<△tcr)
該區域內的管道最大允許安裝長度計算公式同式(8),但是由于屈服溫差小,管道允許進入錨固狀態。管道剛投入運行時對應的過渡段最小長度和錨固段最大長度分別見式(9)、(10)。
?

式中Lmin——管道的過渡段最小長度,m
?

式中Lmax——管道的錨固段最大長度,m
當摩擦系數最小時,管道過渡段最大長度還須滿足式(8)給出的局部穩定條件,其過渡段最大長度為:
?

式中Lmax——管道的過渡段最大長度,m
??? Fmin——土壤與單位長度預制直埋管道保溫管外殼的最小摩擦力,N/m。
???④ Ⅳ區(△ty<△t<△tcr)
管道循環溫差位于局部穩定控制循環溫差與屈服溫差之間,因此管道安裝長度不受限制,允許進入錨固狀態,其過渡段最小長度和錨固段最大長度同式(9)、(10),而過渡段最大長度為:
?

??? ⑤ Ⅴ區(△tcr<△t<△tcr)
??? 由于循環溫差小于屈服溫差,因此管道永遠處于彈性狀態,但其安裝長度受到局部穩定的限制,管道的最大允許安裝長度計算公式同式(8)。
??? ⑥ Ⅵ區[△t<min(△ty,△tcr)]
??? 由于循環溫差小于屈服溫差和局部穩定控制循環溫差,因此管道處于彈性狀態下運行,管道安裝長度不受限制。圖5是綜合考慮強度計算理論和彈性穩定理論而建立的適合大管徑熱水直埋管道的管道工作狀態分區圖。實際上,對于任意壓力等級下任意壁厚的管道在相應的循環溫差下,都可以在其對應分區圖上找到工作狀態點,進而判斷其所處的區域和工作狀態。
4 算例
??? 某熱網首站供水干管為Φ920×10的螺旋縫電焊鋼管,材質為Q235,彈性模量為19.6×104MPa,線膨脹系數為12.6×10-6K-1,基本許用應力為125MPa,泊松數為0.3,管道設計壓力為1.6MPa,設計溫度為130℃,安裝溫度為10℃。采用直埋敷設方式,預制保溫管外徑為1055mm,管頂埋深約為1.4m。
??? 由以上公式計算得到3種控制溫差:△tcr=86℃,△tmax=130℃,△ty=101℃。由于循環溫差△t=120℃,則可以判斷管道工作點位于Ⅱ區,管道在彈性范圍內工作,最大允許安裝長度Laz=119m。
??? 校核其整體失穩和截面橢圓化變形條件也可以滿足要求,即如果該管道采用無補償冷安裝敷設方式,最大允許安裝長度不應超過119m。安裝長度如此小是為了防止發生局部屈曲。
5 增大管道最大允許安裝長度的措施
??? 在防止大管徑直埋供熱管道產生局部屈曲的前提下,增大管道最大允許安裝長度的措施為:
??? ① 適當增大鋼管壁厚,局部穩定控制循環溫差和最大允許安裝長度隨之增大,但是如果壁厚超過一定范圍,工程經濟性將變差。
??? ② 預熱安裝,減小熱脹變形和溫差引起的軸向應變,可以有效降低局部失穩出現的概率。預熱安裝需要計算合適的預熱溫度[5],以防止冷水運行或降溫過程中發生管道斷裂。同時,還應考慮管道檢修、閥門更換時已拉伸管道回縮的現象,切管后如果不采取措施,需重新對該管段進行冷安裝狀態下的強度和穩定性計算。
??? ③ 設置補償器。對于熱網的輸送干管而言,增加了熱網維修點和發生故障的概率。
參考文獻:
[1] 牛小化.大管徑熱水供熱管道直埋設計的探討[J].煤氣與熱力,2007,27(7):76-81.
[2] 唐山市熱力總公司.CJJ/T 81—98城鎮直埋供熱管道工程技術規程[S].北京:中國建筑工業出版社,1998:7-12.
[3] 王飛,張建偉.直埋供熱管道工程設計[M].北京:中國建筑工業出版社,2006:50-65.
[4] 全國壓力容器標準化技術委員會.JB 4732—1995鋼制壓力容器——分析設計標準[S].北京:中國標準出版社,1995:11-18.
[5] 王飛,王國偉,孫剛,等.直埋管道預熱安裝的安全性研究[J].材料科學與工藝,2009,17(2):203-207.