?
??? 由式(5)~(8)可求得在塌陷區地面沉降深度為h時,支架1處管道附加彎矩最大,計算式為:
??? 
式中M1——地面沉降造成支架1處管道的附加彎矩,N·m
??? 地面沉降造成的附加彎矩產生的最大附加彎曲應力的計算式為:
??? 
式中σs,max——地面沉降造成的附加彎矩產生的最大附加彎曲應力,Pa
??? Wg——鋼管的抗彎截面模量,m3
??? D——鋼管外徑,m
??? 地面沉降前鋼管按受勻布荷載的等距多跨梁計算的最大彎曲應力的計算式為[1]:
??? 
式中σmax——地面沉降前鋼管按受勻布荷載的等距多跨梁計算的最大彎曲應力,Pa
??? q——管道上的勻布荷載集度,N/m
??? d——鋼管內徑,m
??? 由式(10)、(11)得到,最大附加彎曲應力使地面沉降前最大彎曲應力增加比例的計算式為:
??? 
式中λ——最大附加彎曲應力使地面沉降前最大彎曲應力增加的比例
??? 以本礦區敷設中的Ф630×8,Q235鋼管為例,充水的保溫管道加其他荷載的總勻布荷載集度為5581N/m,管道設計壓力為1.6MPa。若不考慮地面沉降,按強度條件,支架間距L可定為18m。根據標準[2、3],由內壓、自重和其他持續外荷載產生的軸向應力之和為93.1MPa,小于計算溫度下的基本許用應力(113MPa),滿足應力驗算要求。鋼材的彈性模量為1.8×1011Pa,若地面沉降深度h=0.5m,由式(12)計算得鋼管在地面沉降前最大彎曲應力增加47.75%。由內壓、自重和其他持續外荷載產生的軸向應力之和加上支架沉降產生的附加彎曲應力達到123.1MPa,大于計算溫度下的基本許用應力(113MPa)。可見,塌陷區的地面沉降對供熱管道造成破壞的危險性存在。
3 保證管道安全運行的安裝方法
??? 對支架1實施管道預應力安裝,安裝方式見圖3。
??? 在滑板與滑動支架之間加設臨時墊塊(厚度為h/2),待安裝完成后撤除臨時墊塊,支架1處的管道截面產生的反向安裝預應力由式(10)近似計算為:
??? 
式中σ1,o——支架1處的管道截面產生的反向安裝預應力,Pa
??? 支架-1、2處的管道截面增加的正向附加應力由式(13)計算。
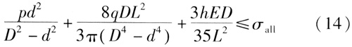
??? 因此,必須縮短支架間距,降低由內壓、自重和其他持續外荷載產生的軸向應力水平,使由內壓、自重和其他持續外荷載產生的軸向應力加上由預應力安裝產生的正向附加彎曲應力之和小于計算溫度下鋼材的基本許用應力[3]。即:
????
式中p——管道的設計壓力,Pa
??? σall——計算溫度下鋼材的基本許用應力,Pa
??? 在預測沉降深度為h時,由式(13)不難求得滑動支架的最大間距Lmax(單位為m)。若h=900mm,預敷設的Ф630×8,Q235供熱管道,總勻布荷載集度為5581N/m,由式(13)可求得L≈14m。也就是,塌陷斷裂帶附近的支架-3、-2、-1、1、2、3等支架間距為14m。在支架1上實施預應力安裝,當塌陷區的地面沉降深度h≤900mm時,可以滿足標準[2]的規定,保證管道的安全運行。同理,塌陷區內的支架-2、-3、-4、-5~-n的間距為14m,塌陷使柱頂產生高度差≤450mm,同樣可以滿足標準[2]的規定,保證管道的安全運行。
4 管道應力驗算
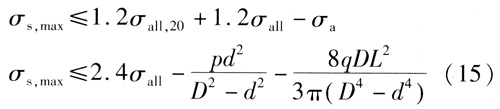
??? 根據標準[2]和標準[3]的管系熱脹應力范圍的驗算,熱脹應力屬于有白限性的二次應力。煤礦塌陷區架空敷設供熱管道支架沉降引起的彎曲應力同樣有自限性,也可以列入二次應力范疇或把地面沉降按地震引起的管道垂直位移考慮,則:
??? 
式中σall,20——鋼材在20℃時的許用應力,Pa,為1.13×108Pa
??? σa——由內壓、自重和其他持續外荷載產生的軸向應力[3],Pa
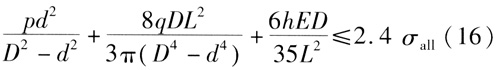
? ??將式(10)代入式(15)并整理,得:
??? 
??? 根據式(16)驗算,對于該礦區預敷設的Ф630×8管道,設計壓力為1.6MPa,總勻布荷載集度為5581N/m,支架間距為14m,不必采取預應力安裝。但是,采取預應力安裝,有利于提高架空敷設供熱管道運行的安全可靠性。
參考文獻:
[1] 劉鴻文.材料力學[M].北京:人民教育出版社,1979.
[2] CJJ 34—2002,城市熱力網設計規范[S].
[3] SDGJ 6—90,火力發電廠汽水管道應力計算技術規定[S].
?