?摘要:以通過煤礦塌陷區的架空敷設供熱管道為研究對象,對通過塌陷區邊界采用常規非預應力安裝的管道進行了危險性分析,采取了適當縮短支架間距及預應力安裝的解決方法。
關鍵詞:煤礦;塌陷區;供熱管道;支架;斷裂帶;沉降;預應力安裝
Study on Safety and Reliability of Overhead Heating Pipeline in Coal Mine Subsidence Area
GA0 Bai-zheng,ZHANG Guo-qiang,WU Wei-xun
Abstract:Taking the overhead heating pipeline passing across the coal mine subsidence area as research object,the risk of conventionally installed(without prestress)pipeline passing across the boundary of subsidence area is analyzed. The solving methods include appropriately shortening the space between the supports and using prestress installation.
Key words:coal mine;subsidence area;heating pipeline;support;fracture zone;sedimentation;prestress installation
1 工程概況
??? 河南省平頂山煤業集團的三礦、四礦、五礦、六礦、七礦、九礦、十一礦等礦井,距坑口熱電廠最遠的也只有9km,特別是九礦與坑口熱電廠一墻之隔。在這片礦井密集的區域內,地下大面積被采空。煤炭行業把地下采過煤的區域稱為采空區,由于地下被采空,采空區上方的地面逐步沉降,采空區上方的區域稱為塌陷區。根據采煤厚度、采空區距地面的深度、采空區上方的地質構造等情況,很難準確預測塌陷區的塌陷時間或塌陷速率。若為這些礦井供熱,部分供熱管道必須通過處于沉降過程中的塌陷區。由于在塌陷區敷設供熱管道存在困難,除九礦以外,其他宜由坑口熱電廠集中供熱的6座礦井均采用小型鍋爐房分散供熱。為了節能減排,實現塌陷區礦井集中供熱尤為重要。
??? 供熱管道由非塌陷區進入塌陷區(或由塌陷區進入非塌陷區)的過程中,塌陷斷裂帶地面可能會逐步或突然形成落差。因此,在煤礦塌陷區供熱管道敷設技術研究的課題中,地面沉降深度對供熱管道的影響是重點問題之一。根據研究結果,在地面沉降深度不超過一定范圍時,塌陷斷裂帶局部采用安裝預應力的設計施工方法,可以保證架空敷設供熱管道安全運行。
2 通過塌陷斷裂帶的危險性分析
2.1 供熱管道的安裝位置
? ??供熱管道在塌陷區的安裝示意圖見圖1。在圖1中,設支架-1、-2、-3~-n位于塌陷區,支架1、2、3~n位于非塌陷區。由于當地煤層厚度變化不大,采空區的采空高度差別較小,塌陷區內的沉降深度變化不大。因此,在塌陷過程中,支架-2、-3、-4~-n的柱頂標高變化差別較小,根據塌陷區的塌陷情況,采取少量調整柱頂高度的方法,可以采用常規的架空敷設技術,不會由于塌陷造成管道變形破壞。處于非塌陷區支架2、3、4~n的柱頂標高與塌陷無關,采用常規的架空敷設技術即可?。
?
?
?
2.2 危險性分析
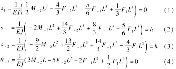
??? 由于支架-1位于塌陷區,支架1位于非塌陷區,相鄰兩個支架隨地面沉降將形成落差。設支架-1某一階段的沉降深度為h(單位為m),支架間距為L(單位為m),塌陷前后管道均屬于受勻布荷載的等距多跨連續梁,設支架-1、-2、-3~-n的沉降深度均為h。實際數據表明,沉降深度相對支架間距較小,對于支架-1、-2、-3~-n沉降深度較小的管道,假設塌陷后支架-2和2處管道截面轉角仍為0,這種假設求得的力學近似解誤差較小,可以滿足工程力學分析需要。根據以上假設和材料力學中的疊加原理,繪制出地面沉降使管道變形的附加力和附加彎矩作用下的受力圖,見圖2。設圖2中附加彎矩所畫的方向為正,反之為負;轉角方向順時針為正,逆時針為負;附加力及位移向下為正,向上為負。
圖中F1——地面沉降造成支架1處的附加力,N
??? F-1——地面沉降造成支架-1處的附加力,N
??? F-2——地面沉降造成支架-2處的附加力,N
??? M-2——地面沉降造成支架-2處的附加彎矩,N·m
??? 由材料力學中計算彈性梁定點定向位移及轉角的莫爾定理及梁的邊界條件,得到支架1、-1、-2的位移表達式及支架-2處管道截面轉角的表達式[1]:
? 
式中s1、s-1、s-2——支架1、-1、-2處管道的垂直位移,m
??? E——彈性梁材料的彈性模量,Pa
? ??J——彈性梁的形心慣性矩,m4
??? θ-2——支架-2處管道截面的轉角,rad
? ??聯立式(1)~(4)求解,得:
????