⑥?總的費用分析
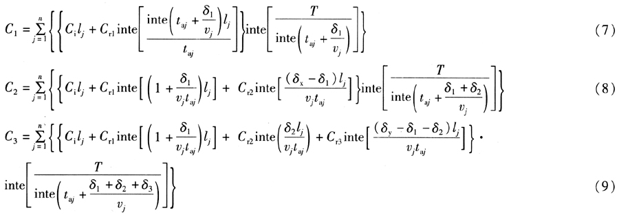
???管道在運行過程中,不同的區域腐蝕速率和單位腐蝕缺陷產生的時間t。不同,根據不同的腐蝕狀態對管道進行區域劃分,將腐蝕發展狀態相同的區域歸為一類,假設有n個區域。總費用包括檢測費用和維修費用,由表1與表2可得管道設計壽命內點2、3、4狀態檢測、維修的總費用,分別見式(7)、(8)、(9)。
?

式中C1、C2、C3——點2、3、4狀態下檢測和維修的總費用,元
??? lj——第j個區域中管道的長度,km
??? taj——第j個區域管道單位缺陷產生的時間,a
??? vj——第j個區域管道的腐蝕速率,mm/a
????取C1、C2、C3中最小值,則相應的檢測維修規劃即為最優檢i貝4及維修規劃。
2?算例
????某管道[9~11]采用?273×7的X52直縫鋼管,最大工作壓力為5.8MPa,設計壽命為20a,假設其中長102.7km的管段從開始投產到檢測時,中間沒有進行過維修,同時此管段的腐蝕狀況相同,根據檢測時間、檢測出的缺陷數以及缺陷的最大尺寸,算得單位缺陷產生的時間ta=0.933a,腐蝕速率v=0.6mm/a,缺陷腐蝕程度范圍和單位缺陷的維修費用見表3,檢測費用Ci=8000元/(km·次)。將數據代入上述公式計算,結果見表4。
表3 維修范圍及費用
?
項目 | 輕度維修 | 中度維修 | 重度維修 |
缺陷范圍 | △δ/mm≤1.5 | 1.5<△δ/mm≤3.0 | 3.0<△δ/mm≤3.9 |
單位缺陷修復的費用/(元·個-1) | 500 | 800 | 1500 |
表4 檢測及維修相關計算結果
?
項?目 | 點2狀態 | 點3狀態 | 點4狀態 |
檢測間隔/a | 3 | 5 | 7 |
檢測次數/次 | 6 | 3 | 2 |
輕度腐蝕缺陷數/個 | 330 | 377 | 377 |
中度腐蝕缺陷數/個 | 0 | 172 | 275 |
嚴重腐蝕缺陷數/個 | 0 | 0 | 117 |
總檢測費用/元 | 4929600 | 2464800 | 1643200 |
總維修費用/元 | 990000 | 978300 | 1168000 |
總費用/元 | 5919600 | 3443100 | 2811200 |
????從表4結果可見:對于所選管段,檢測間隔為7a時檢測維修成本最低,故對此管段,最優的檢測及維修規劃為在管道使用壽命期內每7a檢測1次。
3?結論
??? ①?提出了基于成本的管道檢測及維修規劃的計算方法和思路,并以實例進行了計算分析。
??? ②?檢測方法和維修方法的選擇影響檢測維修規劃的制定,不同管段因腐蝕情況不同,其檢測維修規劃也不同。在實際運行中,應根據不同的腐蝕機理、不同的腐蝕影響因素對模型進行區分應用。
參考文獻:
[1] VAN NOORTWIJK J M.A survey of the application of gamma processes in maintenance[J].Reliability Engineering and System Safety,2009,(94):2-21.
[2] CASTANIER B,RAUSAND M. Maintenance optimization for subsea oil pipelines[J].Pressure Vessels and Pipeline,2006,(83):236-243.
[3] FOULADIRAD M,CRALL A,DIEULLE L. On the use of on-line detection for maintenance of gradually deteriorating systems[J].Reliability Engineering and System Safety,2008,(93):1814-1820.
[4] KALLEN M J,VAN NOORTWIJK J M. Optimal maintenance decisions under imperfect inspection[J].Reliability Engineering and System Safety,2005,(90):177-185.
[5] HONG H. Inspection and maintenance planning of pipeline under external corrosion considering generation of new defects[J].Structural Safety,1999,(21):203-222.
[6] 李典慶,張圣坤,唐文勇.基于風險的船體結構腐蝕優化檢測及維修規劃[J].上海交通大學學報,2004,(38):1875-1879.
[7] API 581,Risk-based inspection-base resource document[S].
[8] SY/T 0087.1—2006,鋼制管道及儲罐腐蝕評價標準埋地鋼制管道外腐蝕直接評價[s].
[9] 陸新東,盧宇光,陳祥嶺,等.漏磁腐蝕檢測技術在二連油田阿賽輸油管道上的應用[J].內蒙古石油化工,1998,(24卷增刊):32-34.
[10] 羅衛國,趙新偉,白真權,等.阿賽輸油管道腐蝕狀況調查及分析[J].焊管,2004,(27):14-17.
[11] 王獻防,白真權,韓曉毅.阿一賽輸油管道腐蝕現狀分析[J].全面腐蝕控制,2003,(17):13-16.