摘要:提出了基于成本的長輸管道腐蝕缺陷的檢測及維修模型,將總成本分為檢測和維修2部分,根據總成本最小原則確定最優檢測及維修規劃。最優的檢測及維修,是在保證管道在設計工作壽命內的最大腐蝕深度小于滿足強度要求的最大腐蝕裕量的基礎上,使管道生命周期內總的期望費用最小。針對腐蝕缺陷的發展過程,以最早產生缺陷的尺寸為界限進行劃分,對不同腐蝕程度缺陷進行分類修復。通過比較在不同的狀態點下進行檢測修復所產生的檢測和維修總費用,確定最優的檢測及維修規劃。
關鍵詞:長輸管道;腐蝕缺陷;檢測;維修;成本
Cost-based Inspection and Repair Planning for Corrosion Defects in Long Distance Pipeline
YU Shu-rong,HE Na,GU Sheng-bin
Abstract:A cost-based inspection and repair model for corrosion defects in 10ng distance pipeline is proposed. The total cost is dived into two parts,one for inspection and another for repair. The optimal inspection and repair planning is determined according to the maximum principle of the total cost. The optimal inspection and repair are to keep the total expected cost to a minimum in pipeline life cycle,ensuring that the maximum corrosion depth of pipeline in design service life is less than the maximum corrosion margin that meets the strength requirement. Taking the size of the earliest generated defect as a limit,the corrosion defects are divided for their development,and the corrosion defects with different corrosion degrees are classified and repaired. The optimal inspection and repair planning is determined by comparing the total cost of inspection and repair at different corrosion states.
Key words:long distance pipeline;corrosion defect;inspection;repair:cost
???為防止燃氣管道失效,確保管道正常運行,需要對管道進行定期檢測,以便及時發現缺陷進行維修。由于管道長期埋在地下,過于頻繁的檢測將增加運行成本,而減少檢測次數,又將降低運行的安全性。如何合理地配置資源,在確保管道安全運行的同時,使管道在壽命期內的檢測及維修成本最少?基于此問題提出了基于成本的最優檢測及維修規劃,對管道檢測及維修所產生的費用建立數學模型,通過分析計算確定合理的檢測間隔和維修方法。
????管道在運行過程中,受許多隨機因素的影響,目前對于管道檢鋇0及維修規劃的研究主要集中在應用概率數理統計方法建立數學模型,如用馬爾科夫過程、伽馬過程[1]、泊松過程等進行模擬,通過模型分析計算管道失效概率和優化維修決策。針對不同位置的管道建立符合實際的優化檢測和維修規劃,Bruno Castanier[2]根據單位時間平均維修成本最小來確定檢測間隔,提出了海底輸油管道的優化維修策略。Mitra Fouladirad[3]研究了非穩定劣化過程,在運行狀態突然變化時,從正常狀態到緊急狀態的轉變維修決策。M.J.Kallen[4]用伽馬過程模擬在不確定狀態下由于腐蝕引起的壁厚減薄,建立了貝葉斯更新理論模型,模型中納人了對不準確的檢測結果的分析。H.Hong[5]研究了考慮新腐蝕缺陷發展的維修計劃,用馬爾科夫過程模擬了腐蝕缺陷的剩余強度,用泊松過程模擬了新腐蝕缺陷的發展,基于可靠性極限選擇最優檢測和維修規劃。這種方法考慮了無損檢測工具在檢測缺陷時的不確定性及新缺陷在管道服役期產生的隨機性,應用均勻連續時間馬爾科夫鏈來模擬剩余負載率對腐蝕缺陷尺寸的影響,用泊松過程模擬新缺陷的發展,馬爾科夫狀態表示管道的操作壓力與腐蝕管道剩余強度壓力的比值,通過解Kolmogorov微分方程獲得轉移概率矩陣。
1?檢測及維修模型
????針對腐蝕缺陷的產生過程進行分析,筆者提出了一種基于成本的腐蝕缺陷的檢測及維修規劃,認為最早產生的缺陷是每次檢測中缺陷尺寸最大的,缺陷產生的過程是隨機過程,對隨機產生的缺陷,假設同一區域的所有缺陷按照相同的過程進行發展,以該區域最早產生的缺陷的尺寸為界限,進行維修區間劃分,確定相應狀態的修復措施。
1.1?最大腐蝕裕量的計算
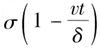
最優的檢測及維修,是在保證結構在設計工作壽命內的可靠度指標大于最低可靠度指標的基礎上進行的優化[6]。為預防失效的發生,管壁的厚度減薄量應小于最大腐蝕裕量。由文獻[7]知,對于管道的腐蝕,其腐蝕狀態函數由下式進行定義:
?

式中g(t)——腐蝕狀態函數,MPa
????σ——材料的屈服極限,MPa
??? v——腐蝕速率,mm/a
??? t——腐蝕時間,a
???δ——管壁厚度,mm
??? p——操作壓力,MPa
??? d——管道外徑,mm
???式(1)為強度隨壁厚減薄而降低的應力強度模型,公式中

表示管道實際的剩余強度,

表示管道在操作壓力下必須達到的強度,vt表示管壁在t內的腐蝕減薄量,當g(t)=0求得:
????

式中m——最大壁厚減薄量,mm
????在計算過程中如果考慮設計、焊接、溫度等因素的影響,m的取值見式(3)[8]:
??? m=δ-δmin??? (3)
式中δmin——最小安全壁厚,mm
????

式中F——強度設計系數
????φ——焊縫系數
????τ——溫度折減系數
????各系數具體取值參見文獻[8]。
1.2?基于成本的檢測及維修優化模型
??? ①?模型建立的幾點假設
????腐蝕缺陷產生的前提條件是防腐層破壞,進而導致管壁減薄。管道所處的地段不同,防腐層施工質量不同,腐蝕缺陷產生的時間也不同。為了方便模型的描述,做以下假設:
??? a.?不考慮防腐層的老化,同一管段1km的管道上產生1個腐蝕缺陷的平均時間為t。。
??? b.?缺陷腐蝕為勻速腐蝕,腐蝕速率為穢。
??? c.?檢測為完備性檢測,即每次都檢測出了所有腐蝕缺陷。
??? d.?缺陷修復后達到修舊如新的狀態
??? ②?檢測及維修相關說明
????模型中用Ci(單位為元/(km·次))表示單位管道每次的檢測費用。對于管道的修復,由于維修技術的限制,不同的管道公司采用的修復技術不同,且對不同腐蝕程度的缺陷采取的修復方法也不I司,本文將缺陷的腐蝕程度分為輕、中、重3種,針對不同程度的腐蝕缺陷采用不同的修復方法。
????沿壁厚方向將缺陷的發展劃分成4個階段,見圖1。在模型的實際應用過程中,可根據實際供選擇的維修方式進行腐蝕階段和維修種類的劃分。用△δ表示缺陷的腐蝕深度,在圖1中的點4處,腐蝕深度達到最大,即δ1+δ2+δ3=m。
????第1階段(0—1段):防腐層破壞階段;
????第2階段(1—2段):缺陷需要輕度維修階段,△δ≤δ1;
????第3階段(2—3段):缺陷需要中度維修階段,δ1<△δ≤δ1+δ2;
????第4階段(3—段):缺陷需要重度維修階段,δ1+δ2<△δ≤δ1+δ2+δ3
?

??? ④?不同狀態下發生的檢測費用
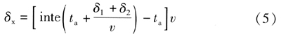
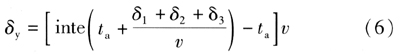
????在運行過程中,因為缺陷的產生是隨機過程,所以很難把握圖中點l的狀態,即防腐層一旦失效便進行檢測修復,所以從點2狀態開始分析,各狀態的分析結果見表1,表中T(單位為a)為管道的使用壽命,l(單位為km)為所計算管段的長度。由于檢測間隔和檢測次數為整數,定義函數inte[f(x)]為f(x)值的整數部分,若計算所得檢測次數為整數,按實際運行壽命中檢測發生的次數,最后一次檢測(即管道運行時間已到使用壽命時進行的檢測)不考慮進檢測維修規劃中,則實際發生的檢測次數應為計算值減去1,在以下的計算中檢測間隔和檢測次數都按照這個方法進行計算。
??? ⑤?不同狀態下發生的維修費用
????在已有缺陷不斷腐蝕的情況下,新缺陷也在隨機產生,所以在每個狀態點檢測維修時,都包括前面狀態下的腐蝕缺陷,如在點4狀態時缺陷的維修方式有3種:輕度維修、中度維修和重度維修。假設單位缺陷的輕度、中度、重度維修成本分別為Cr1(單位為元/個)、Cr2(單位為元/個)、Cr3(單位為元/個),則在每個狀態下修復所產生的維修費用見表2。
在表2中,因為檢測間隔以a為單位,所以將檢測間隔取整后,檢測間隔小于實際計算值,最大缺陷在檢測時沒有達到狀態點劃分的尺寸值,故對于點3處進行維修時,中度維修的最大缺陷為δx,δx由下式確定:
?

同理,點4處維修時的最大缺陷為δy:
?

?

???
