??? 從圖3中可以看出,減壓閥具有良好的線性調節特性,最小流量時開度約在10%處,這一點使得閥門接近關閉時工作緩和平穩,確保關斷嚴密。在正常的可調范圍內流量變化與閥門開度成線性關系。圖3?減壓閥特性曲線三、減壓閥在管道中的調節原理?庫鄯輸油管道使用了兩個減壓閥,并聯安裝在覺羅塔格減壓站,其中主閥PV1001起主要調節作用,副閥PV1002起備用調節作用,庫鄯輸油管道一期工程水力坡降線示意圖如圖4所示。

圖4?庫鄯輸油管道一期工程水力坡降線示意圖?
??? 從圖4中可以看出減壓閥的主要作用是。?(1)在減壓站通過減壓閥節流降壓,消耗掉管道最高點至末站進站間的多余位能(P2-P3)。?(2)通過減壓閥控制減壓站上游管道的壓力,保證高點正壓運行,并避免高點至減壓站管道內出現不滿流現象。?(3)全線停運時,通過減壓閥的嚴密關斷,防止減壓站上游出現不利于再啟動的空管現象。?圖4中高點與減壓站處由伯努利方程得到簡化后的穩定流的能量方程〔2〕:

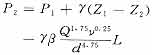
?即?P2=P1+γ(Z1-Z2)-γ.hf?由列賓宗公式得:?
?
(1)式中?Z1——高點高程,m;?Z2——減壓站高程,m;?P1——高點壓力,Pa;?P2——減壓站進站壓力,Pa;?Q——管道內原油流量,m3/s;?d——管道內徑,m;?L——高點至減壓站間的管道長度,m;?γ——油品相對密度,kg/m3;?ν——油品運動粘度,m2/s;?β——流態系數,取0.024?6?s2/m。?其中Z1、Z2、d、L、β、γ、ν為已知,為了保證高點正壓運行,取P1為0.2?MPa(設計參考值),由式(1)中可以得出:減壓站的進站壓力P2隨Q變化而變化,Q取首站出站流量。在實際運行中PSP(減壓站進站壓力設定值)由SCADA系統根據實時測定的Q進行計算得出,并從主機系統實時傳給減壓站的站控PLC,由PLC內的PID(比例積分微分)調節程序對減壓站的上游壓力P2進行控制。?當P2<PSP時,PV1001關小,直至偏差e=P2-PSP=0為止;?當P2>PSP時,?PV1001開大,?直至偏差e=0為止;?當P2=PSP時,PV1001保持當前開度。?
??? 副閥PV1002是備用調節閥,其壓力設定值為固定值,即不隨管道流量變化而變化。當主閥PV1001故障關閉或流通能力不夠時,副閥將自動參與調節,兩閥的壓力流量曲線如圖5所示。
?
通風隊木工房防止地面火災的措施
可燃和有毒氣體檢測裝置安裝高度要求
安全處理易燃易爆粉塵
生活區防火措施
加油站火災事故的預防對策
防火涂料施工專項措施
建筑消防設施維護保養作業指導書
化工倉庫防火安全技術總指導
消防防火安全措施方案
消防安全出口設置要求
動火作業安全注意事項
消除靜電的方法有哪些?
火災事故應急處置措施
冬季安全生產六防措施
安全疏散通道的設置要求
企業火災事故預防措施