?????? 十一、安全生產標準化企業等級
安全生產標準化企業分為一級、二級、三級,一級為最高。
考核評級標準如下:
一級企業:按照國家安監總局有關規定執行;
二級企業:安全生產標準化得分80分(含)以上,且每個“一級要素”得分在60分(含)以上;
三級企業:安全生產標準化得分70分(含)以上,且每個“一級要素”得分在60分(含)以上。
?????? 十二、安全生產標準化“一級要素”在考核評級中的權重系數
??? 1.負責人與責任:0.10;??? ?2.風險管理:0.12; 3.法律法規與管理制度:0.08;
??? 4.培訓教育:0.10;?? 5.生產設施及工藝安全:0.20;?? 6.作業安全:0.12;
??? 7.產品安全與危害告知:0.08;??8.職業危害:0.05;??9.事故與應急:0.05;
??? 10.檢查與績效考核:0.10。
?????? 十三、安全生產標準化考核得分計算辦法
安全標準化考核采取滿分為100分。
每個“一級要素”滿分為100分,各“一級要素”的考核得分乘以各自對應的權重系數,然后加和得到安全生產標準化考核總分值,計算方法如下:
?

?式中M—總分值;
?Ki —權重系數;
?M i —各A級要素得分值。
當企業不涉及本規范中的某些要素時為缺項,按零分計。
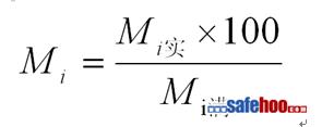
要素得分值折算方法如下:
??????????
式中:Mi實—A級要素實得分值;
Mi滿—扣除缺項后的要素滿分值。
每個B級要素分值扣完為止。
?????? 十四、企業安全生產規章制度
通常應建立健全以下安全生產規章制度(三十二類):
1)安全生產職責;
2)識別和獲取適用的安全生產法律法規、標準及其他要求;
3)安全生產會議制度;
4)安全生產費用;
5)安全生產獎懲管理;
6)管理制度評審和修訂;
7)安全培訓教育;??
8)特種作業人員管理;
9)管理部門、基層班組安全活動管理;
?10)風險評價;???????
11)隱患治理;??
12)重大危險源管理;
13)變更管理;?????
14)事故管理;
15)防火、防爆管理,包括禁煙管理;
16)消防管理;
?17)倉庫、罐區安全管理;
18)關鍵裝置、重點部位安全管理;
19)生產設施管理,包括安全設施、特種設備等管理;
?20)監視和測量設備管理;
21)安全作業管理,包括動火作業、進入受限空間作業、臨時用電作業、高處作業、起重吊裝作業、破土作業、斷路作業、設備檢維修作業、高溫作業、抽堵盲板作業管理等;
???? 22)危險化學品安全管理,包括劇毒化學品安全管理及危險化學品儲存、出入庫、運輸、裝卸等;
?23)檢維修管理;
24)生產設施拆除和報廢管理;
?25)承包商管理
26)供應商管理;
?27) 職業衛生管理,包括防塵、防毒管理;
?28)勞動防護用品(具)和保健品管理;
?29)作業場所職業危害因素檢測管理;
?30)應急救援管理;
?31)安全檢查管理;
?32)自評等。
??????? 十五、企業安全生產臺帳(十五種)
1、安全生產例會臺帳。?2、職工安全教育臺帳。 3、勞動防護用品采購發放臺帳。
4、危險源登記臺帳。??? 5、安全生產檢查臺帳。 6、事故處理臺帳。
7、事故隱患整改臺帳。?8、安全生產獎懲臺帳。 9、安全生產技術項目管理登記臺帳。
10、特種作業人員登記臺帳。??? 11、班組安全生產達標活動登記臺帳。
12、特種設備管理登記臺帳。??? 13、外來施工隊伍管理登記臺帳。
14、安全設施臺賬。????? 15、其它安全生產臺帳。
?????? 十六、安全標準化責任主體
安全標準化建立和完善是各生產經營單位的責任,是國家對生產經營單位的強制要求,也是集團公司2011-2012年安全生產管理工作的重點 。安全評審是屬地化管理,要與當地安監機構取得聯系,以地方要求為準,并報告集團公司。