1總則
1.0.1為了統一石油天然氣行業的廠、站、庫油罐區防火堤的設計要求,確保油罐區的安全,特制定本規范。
1.0. 2本規范適用于石油天然氣行業地上油罐區的新建和擴建工程中的防火堤設計。不適用于液化石油氣和天然氣凝液罐區的防火墻設計。
油罐區的防火堤改造工程設計,可參照本規范執行。
1.0. 3防火堤的建筑,應在滿足耐燃燒性、密封性和抗震要求的前提下,綜合考慮安全、占地、投資、地形、地質及氣象等條件,還應考慮到罐組容量及所處位置的重要性、周圍環境特點及發生事故的危害程度、施工及生產管理、維修工作量及施工、材料來源等因素,因地制宜,合理設置,使其達到堅固耐久、經濟合理的效果。
1.0. 4在防火堤的設計中,除執行本規范外,尚應符合有關現行國家標準規范的要求與規定。
2術語、代號
2.1術語
2.1.1有效容積——一個油罐組由防火堤所圍成的容積。計算時應扣除其內各油罐(最大一個罐除外)防火堤計算高度以下的體積和全部建、構筑物及各種基礎、配管等的體積之后的容積。
2.1.2防火堤高——在總圖布置中由防火堤外側地面至防火堤頂面的垂直距離。
2.1.3防火堤基腳線——系指防火堤邊坡與其內、外設計地面的交線。
2.2代號
2.2.1作用和作用效應
P
L,P
E,P
d——各種荷載水平分布值;
P
A,P
B,P
——各點土壓力水平分布值;
Pt,PE,PL,Pd,PtE——各種荷載計算截面以上水平合力;
Mt,ME,ML,Md,MtE——各種荷載對計算截面的彎距;
G1——每米堤長計算截面以上堤身自重荷載標準值;
G——總垂直荷重設計值;
P——總水平荷載設計值;
M——總的作用于基底的傾復力矩設計值。
2.2.2抗力及材料特性
RH基底磨擦阻力;
PP——被動土壓力;
MW——穩定力矩;

——土的內摩擦角;
γL——液體的重度;
γt——土體的重度;
H1——計算截面以上液體深度或堤高;
Ho——計算截面以上合力作用點至計算截面的距離;
HL——總的液體深度;
H——堤高;
α——內培土水平段寬度;
β——培土坡面與地面夾角;
d——基礎埋深;
B1——防火堤平均厚度;
e——垂直合力作用線至基礎前端的水平距離;
C——土的粘結力。
2.2.3計算系數及其它
amax——地震影響系數最大值;
a1,a2,a3,a4——根據X/H求得的相應系數;
η1——第一振型參與系數;
μ——基底摩擦系數;
η——被動土壓力折減系數;
Ka,Kˊa——主動土壓力系數;
Kp——被動土壓力系數;
ƒt——動液壓力系數。
3防火堤的布置
3.1一般規定
3.1.1油罐組所設防火堤,必須是閉合的。隔堤與防火堤也必須是閉合的。
3.1.2立式油罐組的防火堤的堤高應為1.0~2.0m。設計高度應比計算高度高出0.2m。隔堤高度應比防火堤低0.2~0.3m。
臥式油罐組的防火堤堤高不應低于0.5m。
3.1.3防火堤內地面,應有不小于3‰的坡度。其雨水排除及其他管線穿越,應符合下列規定:
3.1.3.1在堤內較低處設置集水設施,連接集水設施的雨水排除管道應從地面以下通出,堤外應設有可控制開閉的裝置與之連接。開閉裝置上應設有能顯示其開閉狀態的明顯標志。
3.1.3.2進出油罐組的各類管線、電纜,不宜在防火堤堤身穿過,應盡量從堤頂跨越或堤基礎以下穿過。如不可避免,必須穿過堤身時則應預埋套管,且應采取有效的密封措施。
3.1.4防火堤內地坪標高不應高于堤外消防道路路面或地面的標高。
3.1.5防火堤內油罐容量≥20000m3時,宜設置進罐組道路。進罐組道路應為單車道,應從防火堤堤頂跨人,道路縱坡不應大于8%。
3.1.6沿無培土的防火堤修建排水溝時,溝壁的外側與防火堤基礎外邊緣的間距不應小于0.5m,且溝內應有防滲漏措施。
3.1.7每一罐組防火堤上必須設置兩個以上人行踏步或坡道,并設置在不同方位上。
3.1.8立式油罐罐壁至防火堤和隔堤基腳線的距離,不應小于罐壁高度的一半,臥式油罐罐壁至防火堤基腳線的距離,不應小于3m。
3.1.9相鄰油罐組防火堤的外側基腳線之間,應留有寬度不小于7 m的消防空地。
3.1.10油罐區消防道路路邊至平行防火堤外側基腳線的距離不應小于3 m。
3.2容量
3.2.1油罐分組應符合下列規定:
3.2.1.1固定頂油罐總容量不應大于100000 m3。
3.2.1.2浮頂油罐總容量不應大于200000 m3。
3.2.1.3油罐組內宜布置同類火災危險性的油罐。沸溢性與非沸溢性油品不應布置在同一防火堤范圍內。
3.2.2油罐組防火堤內的有效容量應符合下列規定:
3.2.2.1固定頂油罐,不應小于罐組內一個最大油罐的容量。
3.2.2.2浮頂油罐,不應小于罐組內一個最大油罐容量的一半。
3.2.2.3當固定頂油罐與浮頂油罐同組布置時,應取以上兩款規定較大值。
3.2.3油罐組內應按下列要求設置隔堤:
3.2.3.1容量等于或大于50000 m3的油罐,隔堤內油罐為一座。
3.2.3.2容量等于或大于10000 m3而小于50000 m3的油罐,隔堤內的油罐不應多于2座。
3.2.3.3容量為3000~5000 m3的油罐,隔堤內的油罐不應多于4座。
3.2.3.4容量等于或小于2000 m3的油罐,隔堤內的油罐不應多于6座。
4防火堤的型式與構造
4.1選型
4.1.1防火堤的選型應符合下列規定:
4.1.1.1土筑防火堤,在占地、土質條件能滿足需要的前提下,應優先選用。
4.1.1.2磚砌防火堤,一般情況下均可選用,但用于低洼、鹽堿地區應采取可靠的保護措施。
4.1.1.3鋼筋混凝土防火堤、素混凝土防火堤及毛石混凝土防火堤,可在抗震設防烈度7度以上、地形復雜、人口及工業設施稠密的地區,以及在油罐組容量不小于50000 m3和對安全有特殊要求的情況下采用。
4.1.1.4漿砌毛石防火堤,防抗震設防烈度大于7度或地質構造復雜易造成基礎不均勻沉降的地區以外,均可采用。
4.2構造
4.2.1防火堤(土堤除外)基礎埋置深度應根據工程地質、建筑用材、凍土深度等因素確定,且不宜小于0.5m。
4.2.2防火堤(土堤除外)應設置變形縫。變形縫的間距應根據防火堤的材料、氣候和地質特點按有關規范確定;縫寬30~50mm,縫內應用柔性材料密封。
4.2.3防火堤(土堤及隔堤除外)應在堤內側培土或采取噴涂具有耐火性和密封性的涂料等保護措施,并應符合下列規定:
4.2.3.1防火堤內側培土高度不應小于堤高的2/3;培土坡度(高寬比)應為1∶1.00~1.25;培土頂寬不應小于300mm;培土應分層壓實,坡面應拍實,壓實系數不應小于0.85;培土表面應做面層,面層應能有效地防止雨水沖刷、小動物破壞和雜草生長。
4.2.3.2防火涂料層的抗壓強度不應低于1.5MPa,粘結強度對混凝土不應小于0.15MPa,耐火極限不應小于2小時,抗凍性應達到-25℃~20℃,凍融15次強度無變化,并能在潮濕環境下工作。
4.2.4土筑防火堤的構造應符合下列規定:
4.2.4.1堤頂寬度不應小于500mm,堤身坡度(高寬比)應為1∶1.2~1.5;
4.2.4.2筑堤材料應為粘性土。當筑堤材料為高滲透性土(塑性指數IP≤10)時,應在堤身內設厚度不小于300mm的防滲透層或摻入粘土等材料以降低其滲透性。
4.2.4.3筑堤土應分層夯實,壓實系數不應小于0.90。
4.2.4.4土筑防火堤必須設面層,面層應能有效地防止雨水沖刷、小動物破壞和雜草生長。在南方濕潤地區,可用人工草皮做面層。
4.2.5磚砌防火堤的構造應符合下列規定:
4.2.5.1堤身砌體厚度不應小于370mm,并用水泥砂漿抹面。
4.2.5.2磚的強度等級不應低于 MU7.5,砌筑砂漿強度等級不應低于M5;基礎為毛石砌體時,毛石強度等級不應低于MU20。
4.2.5.3堤頂宜設鋼筋混凝土壓頂、壓頂厚度不應小于100mm,混凝土強度等級不應低于C15,壓頂內按構造配筋。
4.2.5.4抗震設防烈度7度以上或地質條件復雜、地基沉降差異較大地區宜采用加筋砌體。
4.2.5.5在用地條件受到限制時,可采用磚砌空腹式填土防火堤代替內培土磚砌防火堤,內填土厚度宜為500mm。
4.2.6鋼筋混凝土防火堤的構造應符合下列規定:
4.2.6.1堤身及基礎底板的厚度不應小于200mm。
4.2.6.2受力鋼筋的單側最小配筋率應為0.2%,鋼筋直徑不應小于12mm;沿堤長方向的全部構造鋼筋的最小配筋率為0.2%,鋼筋直徑不應小于8mm,鋼筋間距不應大于250mm;堤身受力鋼筋的保護層厚度應為50mm,堤身和基礎混凝土強度等級不應低于C15,墊層混凝土強度等級不應低于C10。
4.2.7漿砌毛石防火堤的構造應符合下列規定:
4.2.7.1堤身及基礎最小厚度不應小于500mm;基礎臺階寬高比允許值:當基礎底面平均壓力不大于100kPa時應為1:1.25,大于100kPa時為1:1.50,每階寬度不應大于200mm。
4.2.7.2毛石強度等級不應低于MU20,砂漿強度等級不應低于M5。
4.2.7.3堤頂應做鋼筋混凝土壓頂。做法同4.2.5.3款;堤身應做水泥砂漿勾縫。
4.2.8毛石混凝土、素混凝土防火堤的構造應符合下列規定:
4.2.8.1堤身厚度不應小于300mm。
4.2.8.2混凝土強度等級不應低于C15,毛石強度等級不應低于MU20;毛石混凝土所投入的毛石體積,基礎部分不應超過總體積的30%,堤身部分不應超過25%;毛石最大直徑不應超過所在截面厚度的1/3。
4.2.8.3在堤身與基礎的連接位置的堤內一側,宜配置不少于堤身截面0.05%的構造鋼筋,鋼筋直徑不宜小于10mm,鋼筋伸入堤身和基礎的錨固長度ls應符合《混凝土結構設計規范》第6.1.4條的規定。
5防火堤的強度及穩定性驗算
5.1荷載組合及內力計算
5.1.1防火堤設計應按承載能力極限狀態進行荷載效應基本組合。在抗震設防烈度7度及7度以下地區,應按堤內滿液工況進行組合計算;在7度以上地區,尚應按地震工況進行組合計算,并按最不利組合進行設計。
防火堤的設計計算應包括強度計算和穩定性計算。
荷載效應組合的設計值應按式(5.1.1)計算確定:
(5.1.1)
式中S——荷載效應組合的設計值;
γG,γt,γL——分別為自重荷載、靜土壓力、靜液壓力荷載分項系數,取值見表5.1.1
荷載效應組合及分項系數、組合值系數 表5.1.1

注:驗算抗傾和抗滑時,自重荷載的分項系數取0.9。
γQi——第i個可變荷載的分項系數,取值見表5.1.1
GK,GtK, QLK——分別為自重荷載、靜土壓力和靜液壓力荷載標準值,按5.1.2~5.1.4條規定計算確定;
QiK第I個可變荷載(包括堤身水平地震作用、動脈壓力和動土壓力等)標準值,按5.1.5~5.1.7條規定計算確定;
CG,Ct,CL,CQi——分別為自重荷截、靜土壓力、靜液壓力和第I個可變荷載效應系數;φci——第i個可變荷載的組合值系數,取值見表5.1.1。
5.1.2自重荷載標準值按式式(5.1.2)計算:
(5.1.2)
式中G1——每米堤長計算截面以上堤身自重荷截標準值(kN/m);
H1——計算截面至堤頂的距離(m);
B1——計算截面以上堤身的平均厚度(m);
γ——材質重度(kN/m3)。
5.1.3防火堤內側所受的靜液壓力荷載標準值應按式(5.1.3-1,2,3,4)計算確定,計算簡圖見圖5.1.3
(5.1.3-1)

圖5.1.3 靜液壓力計算簡圖
(5.1.3-2)
(5.1.3-3)
(5.1.3-4)
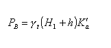
式中PL——每米堤長靜液壓力沿液體深度的水平分布荷載(kN/m2)
γL——堤內液體重度,取10 kN/m3;
Z——液體深度(m);
PL——計算截以上每米堤長靜液壓力合力標準值(kN/m);
H1——計算截面至液面距離(m);
Ho——計算截面以上每米堤長靜液壓力合力位置至計算截面的距離(m);
ML——計算截面以上每米堤長靜液壓力合力對計算截面的彎矩標準值(kN·m/m)。
5.1.4防火堤內培土的靜土壓力荷載標準值的計算應符合下列規定,計算簡圖見圖5.1.4。

圖5.1.4.1 內培土壓力計算簡圖
5.1.4.1圖5.1.4中的折線AFD為土壓力分布曲線,F為轉折點,其壓力分布應按式(5.1.4-1)~(5.1.4-8)計算確定:
(5.1.4-1)
(5.1.4-2)
(5.1.4-3)
(5.1.4-4)
當H12時,P
B按式(5.1.4-5)計算:

(5.1.4-5)
當H
12時,P
B按式(5.1.4-6)計算:

(5.1.4-6)

(5.1.4-7)

(5.1.4-8)
式中P
AP
B——分別為堤頂和計算截面處每米堤長土壓力分布值(kN/m
2);
P
G——土壓力分布曲線轉折處的每米堤長土壓力分布值(kN/m
2);
h——培土坡線與堤背延長線的交點A′至堤頂的距離(m);
a——培土面水平段的寬度(m);
H
1——計算截面以上培土高度(m);
H
2——壓力分布曲線轉折點至堤頂的距離(m);
β——培土坡面與水平面的夾角(°);
γ
t——土體重度,可取18~19kN/m
3;
K
a——以AB為光滑墻背而填土面為水平時的主動土壓力系數,可按式(5.1.4-7)計算或查附錄GE.1;
Kˊ
a——以AˊB為假想墻背而填土面與水平成β角時的主動土壓力系數,可按式(5.1.4-8)計算或查附表A.2;

——培土的內摩擦角(°),當無試驗資料時,對于夯實砂土可取30°~40°,夯實輕亞粘土、亞粘土和粘土可取其等效內摩擦角35°,40°和45°。
5.1.4.2當H
12時,土壓力合力及彎矩應按式(5.1.4-9,10,11)計算確定:
(5.1.4-9)
(5.1.4-10)
(5.1.4-11)
式中Pt——計算截面以上每米堤長土壓力合力(kN/m);
Mt——計算截面以上每米堤長土壓力合力對計算截面的彎矩(kN·m/m);
Ho——計算截面以上每米堤長土壓力合力作用位置至計算截面的距離(m)。
5.1.4.3當H1≥H2時,土壓力合力及彎矩應按式(5.1.4-12,13,14)計算確定:
(5.1.4-12)
(5.1.4-13)
(5.1.4-14)
5.1.5防火堤受到的水平地震作用的計算應符合下列規定:
5.1.5.1土筑防火堤和抗震設防烈度7度及7度以下的其它型式防火堤,可不進行抗震計算和驗算。
5.1.5.2鋼筋混凝土防火堤的水平地震作用標準值應按式(5.1.5-1)~(5.1.5-4)計算確定,計算簡圖見圖5.1.5-1。

圖5.1.5-1 鋼筋混凝土堤地震作用計算簡圖
(5.1.5-1)
(5.1.5-2)
(5.1.5-3)
(5.1.5-4)
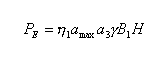
式中PE——距基礎頂面X米處的每米堤長水平地震作用分布值(kN/m2);
PE——計算截面以上每米堤長水平地震作用合力(kN/m);
ME——計算截面以上每米堤長水平地震作用合力對計算截面的彎矩(kN·m/m);
a max ——水平地震影響系數最大值,當設防烈度為8度、9度時,分別取0.16,0.32;
η1——基本振型參與系數,取1.60;
X——計算截面至基礎頂面的距離(m);
a1,a2——根據X/H值求得的相應系數,見表5.1.5;
Ho——計算截面以上每米堤長水平地震作用合力作用點至計算截面的距離(m);
H——基礎頂面至堤頂的高度;
B1——堤身平均厚度。
5.1.5.3磚、石砌體防火堤的水平地震作用應按式(5.1.5-5)~(5.1.5-8)計算確定,計算簡圖見圖5.1.5-2。

圖5.1.5-2 磚、石砌體防火堤水平地震作用計算簡圖
(5.1.5-5)
(5.1.5-6)
(5.1.5-7)
(5.1.5-8)
式中η1——基本振型參與系數,取1.27;
a3,a4——根據X/H比值,求得的相應系數,見表5.1.5;

表5.1.5 系數a1,a2,a3,a4數值圖
a max ——水平地震作用影響系數最大值,當設防烈度為8度、9度時,分別取0.16,0.32。
5.1.6防火堤內液體動壓力標準值的計算應符合下列規定,計算簡圖見圖5.1.6。

5.1.6 液體動壓力計算簡圖
5.1.6.1沿液體深度均勻分布的液體動壓力應按式(5.1.6-1)計算確定:

式中pd——每米堤長液體動壓力分布值(kN/m2);
amax——地震影響系數,設防烈度為8度、9度時分別取0.16,0.32;
ƒL——動液壓力系數,取0.69;
HL——液體深度(m)。
5.1.6.2防火堤計算截面以上液體動壓力合力及彎矩應按式(5.1.6-2,3)計算確定:
(5.1.6-2)
(5.1.6-3)
式中Pd——計算截面以上每米堤長動液壓力合力(kN/m);
Md——計算截面以上每米堤長動液壓力合力對計算截面的彎矩(kN·m/m);
H1——計算截面至液面的距離(m)。
5.1.7防火堤培土的動土壓力標準值應按式(5.1.7-1,2)計算確定:
(5.1.7-1)
(5.1.7-2)
式中PtE——地震作用時,計算截面以上每米堤長的動土壓力合力(kN/m);
MtE——地震作用時,計算截面以上每米堤長的動土壓力合力對計算截面的彎矩(kN·m/m);
Pt——土壓力合力(kN/m),按式(5.1.4-9)或(5.1.4-12)計算確定。
5.2強度驗算
5.2.1防火堤應進行截面強度驗算和地基強度驗算。
5.2.1.1防火堤強度驗算的設計表達式如下:
(5.2.1-1)
式中γo——結構重要性系數,取1.0;
S——荷載效應組合設計值,按5.1.1條規定計算;
R——防火堤抗力設計值,按各有關規范確定。
5.2.1.2進行截面抗震強度驗算時,設計表達式應為:
(5.2.1-2)
式中γRE——防火堤抗震調整系數,對于鋼筋混凝土堤,取0.85;對于其它防火堤,取1.0。
5.2.2防火堤的截面強度設計和基礎設計應符合國家現行規范的有關規定。
5.3穩定性驗算
5.3.1防火堤的穩定性驗算應進行抗滑驗算和抗傾覆驗算。
5.3.2抗滑驗算應符合下列規定:
5.3.2.1抗滑驗算應按式(5.3.2-1)進行:
(5.3.2-1)
式中P——防火堤每米堤長所承受的總水平荷載設計值(kN/m),按式(5.1.1)計算確定;
RH——每米堤長基礎底面摩擦阻力標準值(kN/m),按5.3.2.2款計算確定;
R P——每米堤長被動土壓力設計值(kN/m),按5.3.2.3款計算確定。
5.3.2.2基礎底面摩擦阻力按式(5.3.2-2,3)計算確定:
(5.3.2-2)
(5.3.2-3)
式中G——每米提長傳至基礎底面的垂直荷載合力(kN/m);
G1——堤身自重荷載(kN/m),按式(5.1.2)計算確定;
Gj——基礎自重荷載(kN/m);
Gt——基礎以上土體自重荷載(kN/m);
GL——基礎以上液體自重荷載(kN/m);
μ——基礎與地基之間的摩擦系數,應根據試驗資料取值;當無試驗資料時,可按附錄B取值。
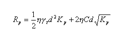
5.3.2.3被動土壓力按式(5.3.2-4,5)計算確定:
(5.3.2-4)
(5.3.2-5)
式中η——被動土壓力折減系數,取0.3;
d——基礎埋置深度(m);
Kp——被動土壓力系數按式(5.3.2-5)計算或查附錄表A.3;
C——粘性地基土的粘結力(kN/m2);
——地基土的內摩擦角(°)。
5.3.3抗傾復驗算應符合下列規定:
5.3.3.1抗傾復驗算應按式(5.3.3-1)進行:
(5.3.3-1)
式中M——各傾復力矩換算至基礎底面并按5.1.1條進行組合后的每米堤長總力矩(kN·m/m);
MW——每米堤長垂直荷載合力產生的穩定力矩(kN·m/m),按(5.3.3-2)計算確定。
5.3.3.2穩定力矩應按式(5.3.3-2)計算確定:
(5.3.3-2)
式中e——垂直荷載合力作用線至基礎前端的水平距離(m)。
附錄A 土壓力系數表
A. 1主動土壓力系數Ka
表A.1主動土壓力系數Kˊa(a=0,δ=0)

A.2主動土壓力系數Kˊa(a=0,δ=0)

A. 3被動土壓力系數Kp
表A.3被動壓力系數Kp

附錄B 防火堤基底的摩擦系數
表B 土對防火堤基底的摩擦系數μ

注:①IL——液性指數。
②IP>22時的粘性土和易風化巖石,μ值應經試驗確定。
附錄C 用詞說明
B. 1執行本規范條文時,對要求嚴格程度的用詞說明如下:
C. 1.1表示很嚴格、非這樣做的用詞:
正面詞采用“必須”;
反面詞采用“嚴禁”。
C.1.2表示嚴格、在正常情況下均應這樣做的用詞:
正面詞采用“應”;
反面詞采用“不應”或“不得”。
C.1.3表示允許稍有選擇,在條件許可時首先應這樣作的用詞:
正面詞采用“宜”或“可”;
反面詞采用“不宜”或“不可”。
C.2條文中指明必須按有關的標準、規范或規定執行的寫法為“應按……執行”或“應符合……要求或規定”。
附加說明
編寫單位:中國石油天然氣總公司管道設計院
主要起草人:陳輝壁、馮寶坤、李榮椿、唐代永、程光榮