1范圍
GB5135的本部分規定了自動噴水滅火系統加速器的要求、試驗方法和檢驗規則和標志、使用說明書、包裝、運輸、貯存等。
本部分適用于自動噴水滅火系統干式和干濕兩用報警閥配套的加速器。
2規范性引用文件
下列文件中的條款通過GB5135的本部分的引用而成為本部分的條款。凡是注日期的引用文件,其隨后所有的修改單(不包括勘誤的內容)或修訂版均不適用于本部分,然而,鼓勵根據本部分達成協議的各方研究是否可使用這些文件的最新版本。凡是不注日期的引用文件,其最新版本適用于本部分。
GB/T528硫化橡膠或熱塑性拉伸應力應變性能的測定
GB/T531橡膠袖珍硬度計壓入硬度試驗方法
GB5135.2-2003自動噴水滅火系統 第2部分:濕式報警閥、延遲器、水力警鈴
GB/T3098.1緊固件機械性能 螺栓、螺釘和螺柱
GB/T3098.2緊固件機械性能 螺母、粗牙螺紋
GB/T3098.3緊固件機械性能 緊定螺釘
GB/T3287可鍛鑄鐵管路連接件
GB/T3512硫化橡膠或熱塑性橡膠 熱空氣加速老化和耐熱試驗
3術語和定義
下列術語和定義適用于GB5135的本部分。
3.1
加速器 accelerator
采用機械手段,用為排放干式報警閥中的氣體,加速干式報警閥開啟時間的一種快開裝置。
3.2
儲氣罐 air container
用來充裝空氣加壓后的一種容器,借助加壓后的空氣壓力驅動加速器動作。
3.3
額定工作壓力 rating working pressure
加速器在工作狀態下允許的最大壓力。
3.4
進口壓力 inlet pressure
當加速器和干式報警閥在伺應狀態下,干式報警閥進口處靜水壓。
4要求
4.1外觀質量
標志齊全,表面平整光滑,無明顯的碰撞傷痕和機械損傷現象。
4.2額定工作壓力
加速器的額定工作壓力應不低于1.2MPa。
4.3材料的耐腐蝕性能
4.3.1加速器的主體和蓋應采用性能不低于鑄鐵的耐腐蝕材料制成。
4.3.2轉動或滑動零件和軸承應采用青銅、黃銅等耐腐蝕材料制成。
4.4零部件
4.4.1活動零件之間以及和固定零件之間均應留有間隙,使加速器能靈活工作。
4.4.2加速器的上腔體必須裝有壓力表。
4.4.3加速器各零部件連接尺寸應符合GB/T3287的規定。
4.4.4加速器在承受4倍工作壓力時,各緊固件的公稱設計載荷不低于GB/T3098.1~GB/T3098.3的有關規定。
4.4.5使用彈黃、膜片的加速器,在5000次工作循環中不應斷裂和破壞。
4.4.6有筋型彈性密封元件試驗后,應能撓屈而無龜裂、破碎,體積膨脹變化不大于20%。
4.4.7無筋型彈性密封元件
無筋型彈性密封元件的拉伸應力應變特性和耐熱老化性能不低于如下規定:
a) 最低抗拉強度為10MPa,最小極限延伸率為300%(25mm~100mm);
b) 最低抗拉強度為15MPa,最小極限延伸率為200%(25mm~75mm);
c) 當公稱尺寸為25mm拉伸到75mm時,保持2min,釋放2min后測量,最大殘余變形不大于5mm;
d) 零件置于(70±1.5)℃,2.0MPa壓力的臭氧環境中試驗96h,其定伸強度和伸長率不應低于試驗前的70%,硬度變化不大于5個國際硬度單位;
e) 零件置于(97.5±2.5)℃蒸餾水中70h后,其定伸強度和伸長率不應低于試驗前的70%,零件體積變化不得超過20%。
4.4.8非金屬部件經老化試驗后,不應產生妨礙裝置正常動作的扭曲、蠕變、裂紋和其他變形損壞,并將老化試驗后的非金屬部件安裝在加速器中按4.5和4.6的規定進行泄漏變形和動作試驗。
4.5泄漏和變形
加速器必須經受兩倍額定工作壓力的靜水壓,保持5min,無泄漏或永久變形現象。
4.6動作
加速器從空氣釋放到干式報警閥打開的時間不得大于30s。
4.7氣體靜壓
加速器必須經受0.7MPa的氣體靜壓,保持1min,無泄漏。
4.8平衡時間
加速器上的腔體內產生0.2MPa壓力的時間不得大于3min。
4.9針孔
加速器如裝有防液流裝置,碎屑等雜物不得通過該裝置。
4.10耐火性能
使用熔點低于800℃的金屬材料或非金屬材料制成的加速器主體和蓋時,充滿水的加速器應能承受800℃的耐火試驗,保持15min,試驗后加速器應能動作,施加2倍的額定工作壓力靜水壓,保持5min,應無永久變形或損壞。
5試驗方法
5.1外觀質量
按照設計文件,檢查各零部件,應符合4.1、4.3、4.4.1、4.4.2、4.4.3的規定。
5.2工作循環試驗
加速器中的彈簧和膜片應進行工作循環次數試驗,試驗進行速率不大于每分鐘6次,工作循環次數應符合4.4.5的規定。
5.3無筋型彈性密封元件試驗
無筋型彈性密封元件拉伸應力應變特性的測定、加速老化和耐熱試驗按照GB/T528、GB/T3512和GB/T531規定進行,試驗結果應符合4.4.7的規定。
5.4有筋型彈性密封元件試驗
試驗前先測量12個密封元件的體積,并在每一個樣品做上標記,基中6個樣品置于2.0MPa的臭氧環境中試驗96h,其余6個樣品置于100℃蒸餾水中70h,之后,取出樣品并冷至室溫,將每一個樣品彎曲到180℃,再重新測量每個樣品的體積,試驗結果應符合4.4.6的規定。
5.5空氣、溫水老化試驗
非金屬部件(除彈性密封元件外)的空氣,溫水老化試驗,應按照GB5135.2-2003中5.2和5.3的規定進行,試驗結果應符合4.4.8的規定。
5.6泄漏和變形試驗
將加速器安裝在試驗裝置上,在進口外安裝一個接頭以施加靜水壓的排氣,堵住其他開口,給加速器內加2倍額定工作壓力的靜水壓,保持5min,試驗結果應符合4.5的規定。
5.7動作試驗
加速器動作試驗應在試驗臺架上進行,將儲氣罐(容積3m3<./sup>)充氣到0.3MPa后,關閉充氣閥門,然后將儲氣罐上管道與加速器接通,在連接處不得有氣泡發生,待加速器上下腔壓力平衡后,以每分鐘0.07MPa的速率釋放儲氣罐壓力,同時用秒表測定加速器動作時間,試驗結果應符合4.6的規定
5.8氣體靜壓試驗
將加速器安裝在試驗裝置上,在進口外安裝一個施加空氣靜壓的接頭,堵住其他開口,給加速器壓到0.7MPa,保持1min,試驗結果應符合4.7的規定。
5.9平衡時間試驗
將加速器安裝在試驗裝置上,在進口處安裝一個接頭,上腔體接上一個壓力表,堵住其他開口,然后,將裝置的空氣壓力調到0.35Mpa后打開加速器進口處的閥門,在加速器上腔體內產生0.2MPa,壓力的時間不得大于3min,試驗結果應符合4.8的規定。
5.10堵塞試驗
加速器如安裝防液流裝置,需要做以下試驗:
用木質標準圓柱尖端牙簽制作直徑3mm的小段,需要6cm3。將制作的小段牙簽放置在加速器的進口管路中,模擬在0.7MPa水壓下干式報警閥動作時牙簽小段通過系統時的情況。試驗結果應符合4.9的規定。
5.11耐火試驗
加速器的耐火試驗應按照GB5135.2-2003中 5.11的規定進行,其結果應符合4.10的規定。
6檢驗規則
6.1檢驗分類
6.1.1出廠檢驗
產品出廠檢驗應按本部分規定進行4.1、4.5、4.6、4.7、4.8各項試驗。
6.1.2型式檢驗
產品的型式檢驗應按本部分規定的性能要求做全部項目檢驗。
有下列情況者,應進行加速器的型式檢驗。
a) 正式生產后,如結構、材料、工藝有較大變動,可能影響產品性能時;
b) 正常生產時,五年應進行一次型式檢驗;
c) 產品停產超過一年者,恢復生產時;
d) 產品轉廠生產的試制定型鑒定;
e) 質量監督機構提出進行型式檢驗要求時。
6.2抽樣
6.2.1檢驗樣品的抽取應采取隨機抽樣的方法,抽樣基數不宜小于檢驗樣品數量的2倍。
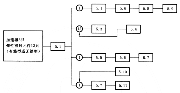
6.2.2加速器型式檢驗的試驗程序和樣品數量如圖1所示。

5.1——外觀檢查;
5.2——工作循環試驗;
5.3——無筋型彈性密封元件試驗;
5.4——有筋型彈性密封元件試驗;
5.5——空氣、溫水老化試驗;
5.6——泄漏和變形試驗;
5.7——動作試驗;
5.8——氣體靜壓試驗;
5.9——平衡時間試驗;
5.10——堵塞試驗;
5.11——耐火試驗;
注1:方框中的數字為試驗序號。
注2:圓圈中的數字為試驗所需試件號。
圖1試驗程序和樣品數量圖
6.3檢驗結果判定
6.3.1按本部分檢驗,全部檢驗項目合格,該產品判為合格。
6.3.2按本部分檢驗,4.5、4.6、4.7、4.8各條中有一條不合格,該產品為不合格。其余各條試驗不合格時,允許加倍抽樣檢驗,仍有一條合格時則該批產品判為不合格。
7標志、使用說明書
7.1標志
加速器應具有永久性清晰的標志,標志中至少應包括:產品名稱、額定工作壓力、水流方向標示、生產廠商名稱或商標、生產日期及產品編號等。
7.2使用說明書
加速器在其包裝中應附有使用說明書,使用說明書中應至少包括產品名稱、規格型號、使用的環境條件、貯存的環境條件、生產日期、生產依據的標準、必要的使用參數、安裝操作說明及安裝示意圖、注意事項、生產廠商的名稱、地址和聯絡信息等。
8包裝、運輸、貯存
8.1包裝
8.1.1加速器在包裝箱中應單獨固定。
8.1.2產品包裝中應附有使用說明書和合格證。
8.1.3在包裝箱外應標明放置方向、堆放件數限制、貯存防護條件等。
8.2運輸
加速器在運輸過程中,應防雨減震,裝卸時防止撞擊。
8.3貯存
加速器應存放在通風、干燥的庫房內,避免與腐蝕性物質共同貯存,貯存溫度-10℃~+40℃。
消防救援人員職業健康保護指南
超細干粉滅火劑
建筑火災逃生避難器材 第8部分:化學…
城市消防遠程監控系統 第3部分:報警…
細水霧滅火系統及部件通用技術條件
城市消防遠程監控系統 第4部分:基本…
火災技術鑒定方法 第5部分:氣相色…
火災技術鑒定方法 第2部分:薄層色…
消防安全標志設置要求
爆炸和火災危險環境電力裝置設計規范…
手提式干粉滅火器
火災報警設備圖形符號【作廢】
民用爆破器材企業安全管理規程
住宿與生產儲存經營合用場所消防安全…
消火栓扳手
建筑滅火器配置設計規范【作廢】