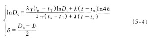
2. 直埋管道保溫熱力計算
(1)保溫層厚度計算全式
?

式中 λT——土壤的導熱系數,取濕砂土值2.326 W/(m·℃);
tT——土壤溫度,取5℃;
h——土壤埋設深度,取0.7m;
其余符號同上。
用試差法算得δ=32mm。
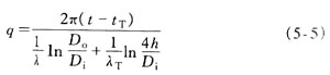
(2)管道保溫層表面散熱損失
?

算得q=17.125 W/m,溫降△t=0.1℃/km。
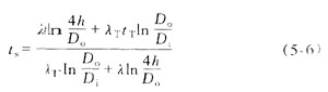
(3)保溫層表面溫度
?

經計算ts=9.3℃。
3. 管道多層絕熱層厚度計算
玻璃鋼導熱系數較低,由玻璃鋼制作的管子及保護層,均視力保溫層,在此基礎上求硬質聚氨酯泡沫塑料厚度。
?

式中 D——第一層絕熱層外徑,取0.215m;
Dl——第二層絕熱層外徑,取0.215+2δ;
D2——第三層絕熱層外徑,取0.221+2δ;
δ——硬質聚氨酯泡沫塑料厚度,m;
λ1——第一層絕熱層導熱系數,取O.028W/(m·℃);
λ2——第二層絕熱層導熱系數,取0.25 W/(m·℃);
λ3——第三層絕熱層導熱系數,取0.25 W/(m·℃);
R1——管道的傳熱阻,取0.03m2·℃/W;
q——允許單位熱損失,采用國家標準GB 4272—84《設備及管道保溫技術能則》,取53W/m。
經計算δ=19mm。
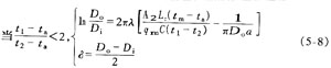
4. 在允許溫降條件下輸送液體管道的保溫層厚度
?

式中 A2——單位換算系數,A2=3.6;
t1——管道始端介質溫度,取55℃;
t2——管道終端介質溫度,取50.7℃;
tm——介質算術平均溫度,取52.85℃;
qm——介質質量流量,取281250 kg/h;
C——介質比熱容,取4.181 kJ/(kg·℃);
Lc——管道計算長度,Lc=KrL,m;
Kr——熱損失附加系數;
L——實際長度,m;
其余符號同上。
用試差法計算δ=4.5 mm。
用不同方法測算得保溫層最薄者為4.5 mm,最厚者為32 mm,介于中間者為22.5 mm及18 mm。直埋地和經濟公式測算的保溫層外表面的濕度為9℃,溫降0.15℃/km和0.1℃/km。經分析對比認為這兩種計算結果更可靠,以此求出兩者的壁厚算術平均值27.5mm為保溫層設計厚度,制作厚度為30mm。
?
科技賦能,AI強安——談AI技術在石油…
危險化學品安全技術說明書(PDF版)
170種危險化學品安全技術說明書匯編
化工企業冬季安全生產須知——防火篇
化工企業冬季安全生產須知——防凍凝篇
有限空間作業如何預防窒息和中毒
有限空間作業切記注意安全!
夏季有限空間作業安全風險防范
危險化學品目錄(2015版)
危險化學品分類及其危險特性
對制度落實不到位的原因調查及解決辦…
職工安全生產的權利和義務
危險化學品的儲存
有限空間作業安全知識
柴油罐的存放
加油站安全知識手冊