眾所周知,任何可燃混合氣(燃氣與空氣或其它氧化劑的混合物)的燃燒,必須先著火,而后燃燒。燃氣分子與氧化劑分子均勻混合,從開始緩慢氧化反應,溫度升高,到發生不穩定的、激烈的氧化反應而引起燃燒的現象,稱為燃氣的著火。
為使可燃混合氣著火,實際中有兩種方式:著火或點火。
著火,或稱為自然著火,是指由于系統中熱量的積聚,使可燃混合物整個容積同時達到并超過某一溫度,混合氣便自動地,不再需要外界作用地著火,達到燃燒狀態。
點火,也稱為強制點火,指在較冷的可燃混合氣中,用一個不大的點火熱源,在某一區域點火,先引起局部著火燃燒,然后燃燒向其它區域傳播,最終整個可燃混合氣系統都達到著火燃燒。
不論“著火”或“點火”,都是燃燒反應自動加速,由低速的穩定的氧化反應,突然轄變為高速的不穩定的氧化反應的過程。
而燃燒反應自動加速的原因又各不相同。所以,自燃著火過程又有兩種類型:支鏈著火和熱力著火。
所謂支鏈著火,是由于燃燒鏈鎖反應的分支,使活化中心濃度迅速增加,導致反應速度急劇加速;而熱力著火,就是指由于系統內熱量積聚,引起化學反應速度按阿累尼烏斯指數函數關系迅速猛增。
在實際燃燒過程中,不可能有單純的支鏈著火或熱力著火,往往是兩種同時存在,并相互促進。一般說來,在高溫下,熱力著火是引起著火的主要因素;而在低溫時,支鏈著火則起主導作用。
自燃著火,不論熱自燃或鏈鎖自燃,在工業生產或日常生活中都經常會遇到,它們所起的作用有時是積極的,有時是消極的,如何充分利用或有效制止它們,唯有清楚地理解和掌握著火發生的條件及其影響的因素后,才能辦到。所以,研究與分析引起著火的理論與實踐的著火理論,是近代燃燒理論與燃燒技術的重要內容。
一、支鏈著火
鏈鎖自燃理論認為,使燃燒反應自行加速度不一定要依靠熱量積累,可以通過鏈鎖的分支,迅速增殂活化中心來達到。
由上節鏈鎖反應的討論可知,鏈鎖反應的速度受到活化中心濃度的影響。在鏈鎖反應過程中,不但有導致活化中心形成并分支的反應,也有使活性中心銷毀.鏈鎖中斷的反應。所以,鏈反應速度是否能得到增長,以致自燃著火,還得取決于兩者之間的關系,
在等溫條件下,鏈反應的速度完全由活化中心的濃度變化來確定。
若Wo為外界能量作用而形成原始活化中心的速度,即鏈形成的速度;
Wl為鏈鎖分枝活化中心增加的速度,它由鏈增長中最慢的中間基元反應來決定:
W2為鏈鎖中斷,活化中心銷毀的速度。
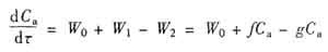
而Wl、W2都與活化中心本身濃度成正比。則,等溫條件下活化中心的瞬時濃度變化為:
?

式中 Ca——活化中心的瞬時濃度;
f,g——分別為活化中心增加和銷毀的速反常數。它們與鏈鎖反應的條件,如活化能、溫度、壓力等因素有關。
令ψ=f-g為實際活化中心增長的速度常數,則得:
?

這里ψCa=W為鏈鎖分枝的實際速度。
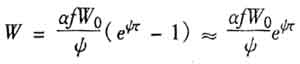
將此式積分變換,并考慮在初始條件τ=0時,Ca=0得:
?

令α為一個活化中心參加的單個鏈鎖環節反應,所生成的最終產物數目。如上述氫的燃燒反應中,一個原子氫參加反應,生成二個水分子,則α=2。
那么,整個分支鏈鎖反應的實際速度,即生成物形成的速度,為:
?

以上兩式可說明,即使在等溫條件下,活化中心濃度和分支鏈鎖反應速度兩者隨時間的變化關系,基本上都是按指數函數關系急劇地增長。具體地說,可能有三種情況:
(1)當f>g,即ψ>0時,
?

表明,在鏈鎖反應開始的很短時間τi后,反應速度與時間的關系便接近指數函數關系,使反應自動加速,而產生自然著火。
(2)當f=g,ψ=0時
?

表明,當溫度增加到某一數值時,恰好使鏈的分支速度等于鏈中斷速度。此時,活化中心濃度和化學反應速度均以直線規律隨時間逐步增長。
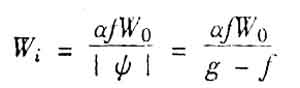
(3)當f<g,ψ<0時,
表明在低溫時,由于鏈的分支速度很緩慢,而中斷速度卻很快。當時間趨于無限長時,活化中心濃度和反應速度都趨于一個極限值。
?

科技賦能,AI強安——談AI技術在石油…
危險化學品安全技術說明書(PDF版)
170種危險化學品安全技術說明書匯編
化工企業冬季安全生產須知——防火篇
化工企業冬季安全生產須知——防凍凝篇
有限空間作業如何預防窒息和中毒
有限空間作業切記注意安全!
夏季有限空間作業安全風險防范
危險化學品目錄(2015版)
危險化學品分類及其危險特性
對制度落實不到位的原因調查及解決辦…
職工安全生產的權利和義務
危險化學品的儲存
有限空間作業安全知識
柴油罐的存放
加油站安全知識手冊