熱工過程是工業爐內一個重要的物理、化學過程。
燃氣工業爐的熱工過程是指爐內燃氣燃燒、氣體流動及熱交換過程的總和。顯然,它是直接影響工業爐生產的產品數量、質量及經濟指標的關鍵。
燃氣工業爐的熱工過程的好壞,爐膛部位是核心。因為物料的加熱、熔煉及干燥等都主要是在爐膛內完成的,而爐膛熱工過程又受爐子砌體各部位熱工特性影響。
一、爐體的熱工特性
工業爐爐子砌體的結構與材料,決定砌體的基本熱工特性,進而對于工業爐熱工狀態造成重大影響。
(一)不同爐子砌體的熱工特性
工業爐的爐墻、爐頂、爐底由不同材質的多層材料砌筑而成,而各層材料的導熱系數與厚度都不一樣,因而溫度變化也各有差異。
圖3—9—6所示爐墻,從內到外分別為粘土磚、絕熱層和普通紅磚。爐膛內高溫焰氣的熱量通過輻射與對流向爐墻內表面傳遞;內表面再通過傳導,把熱量傳到外表面;而外表面再通過輻射、對流向周圍空間散熱。
?

一般砌體的作用是保證爐子空間達到工作溫度,爐襯不被破壞,而加絕熱層是為了減小損失。
從加熱經濟觀點看,砌體蓄熱能力差,爐子開停溫度升降快,但是爐子砌體墻壁太薄,將導致外表面散熱損失增加。因此,應在對爐子進行嚴格的熱工分析后,確定砌體的厚度與材質。一般說,長期運行的大型工業爐,砌休可選厚些,反之選薄些。
為了節約能源,越來越多的工業爐采用輕質、熱導率小的材料作為砌體的絕熱層。表3—9—3給出了采用不同輕質絕熱材料及組合時的節能效果。對連續式和間歇式加熱爐,不同砌體組合的節能效果均為Ⅲ>Ⅱ>Ⅰ。
?
| 爐子工作特點 | 砌筑類型 | 筑爐材料名稱 | 厚度/mm | 熱損失 | |
| 散熱量/kJ·(m-2·h-1) | 蓄熱量/kJ·m-2 | ||||
| 連續式爐 | Ⅰ | 粘土磚 | 232 | 6926 | ? |
| 輕質粘土磚 | 116 | ||||
| Ⅱ | 粘土磚 | 232 | 5074 | ? | |
| 輕質粘土磚 | 232 | ||||
| Ⅲ | 耐火纖維氈 | 75 | 3720 | ? | |
| 粘土磚 | 232 | ||||
| 輕質粘土磚 | 232 | ||||
| 間歇式爐 | Ⅰ | 粘土磚 | 232 | 3184 | 381101 |
| 輕質粘土磚 | 116 | ||||
| Ⅱ | 粘土磚 | 232 | 2157 | 147698 | |
| 硅藻土磚 | 116 | ||||
| Ⅲ | 耐火纖維氈 | 75 | 1609 | 10768 | |
| 礦渣纖維 | 100 | ||||
(二)不同砌體對爐子熱工狀態的影響
圖3—9—7表示爐子供熱量不同對爐內熱狀態的影響。當供給一定熱量使爐子升溫時,起初由于爐膛內高溫煙氣與爐體的溫差很大,所以爐溫上升很快。而后,爐溫上升逐漸緩慢,最后達到穩定的熱狀態B1,溫度不再升高,表示供熱量與熱損失相等,Q1、B1及爐溫t1不再變化。
?

如果從冷態重新加熱爐子,且供應爐內的熱量減少到Q2及Q3時,那么爐內就達不到t1溫度,此時爐內狀態穩定點就處于比t1低的溫度之下。
如爐內需要溫度為t2,則可分別向爐內供應熱量Q1、Q2及Q3,這時升溫的時間間隔就不同,分別為τ1、τ2及τ3。因此,爐內升溫時間與熱量供應成反比。
二、火焰爐爐膛內的熱交換
爐子加熱物料,大部分是在爐膛內進行的,爐膛內,燃氣燃燒產生的高溫爐氣與被加熱的物料(爐料)和爐壁進行換熱,完成對物料的加熱。
爐膛內的熱交換機理是復雜的。在熱交換過程中,爐氣是熱源體,低溫物料為受熱體,爐壁起熱量傳遞的中間體作用,如圖3—9—8所示。
?

在生產實踐中,根據工藝的需要;不同爐子采用不同的操作條件時,可能有三種不同特點的爐膛熱輻射;
(1)均勻熱輻射 爐氣在爐膛內均勻分布,這時爐氣向物料和爐壁的輻射強度相等;
(2)直接定向熱輻射 高溫爐氣集中在物料表面附近,向爐料的輻射強度較大;
(3)間接定向熱輻射 高溫爐氣集中在爐壁附近,向爐壁的輻射強度較大;
在均勻輻射傳熱時,通過輻射和對流傳給爐料的總熱量為;
?
式中 C——導來輻射系數,kJ/(m2·h·K)4;
tl(T1)、t2(T2)——爐氣和爐料表面平均溫度,℃(K);
F2——爐料的受熱表面積,m2;
αC——爐氣對爐料的對流換熱系數,kJ/(m2·h·℃)。
Q2表示單位時間內物料所得到的熱量。Q2愈大,物料加熱愈快,爐子生產率和總熱效率也愈高。公式表明,影響爐子生產率和燃氣消耗的因素為C、t1、t2和αC。
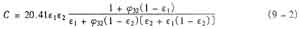
導來輻射系數是爐氣、爐壁對爐料的總輻射系數:
?

這里,下標l、2、3分別代表爐氣、爐料和爐壁;ε為黑度,如ε2為爐料表面的黑度,可近似認為是常數,取ε2≈0.8;ψ為角系數,F為面積,ψ32是爐壁對爐料的角系數,ψ32=F2/F3,其倒數為ω=1/ψ32,稱為爐圍伸展度。可見,導來輻射系數僅與爐氣黑度和爐圍伸展度有關。
物料平均溫度與進入爐膛的初溫和離開爐膛的終溫有關。
爐氣平均溫度與物料溫度、燃氣理論燃燒溫度及爐膛出口煙氣溫度有關,受燃氣種類、熱值、溫度及空氣溫度、空氣過剩系數等影響。
而對流換熱系數主要與爐氣流動特性有關。
綜上所述,爐膛熱交換量,即物料加熱得到的熱量,主要受爐子結構(爐壁面積)、燃氣特性(種類、組成、熱值、溫度)、燃燒條件(空氣過剩系數、空氣溫度)、爐氣特性(黑度、溫度)、物料條件(初溫、終溫)等影響。
還應指出,在實際生產中,爐氣并不是均勻分布在整個爐膛內的,而且爐內溫度也不一致,有燃燒的高溫區,電有靠近加熱物體處的低溫區,同時爐內氣流的流動狀態對熟交換也有直接影響,所以爐內熱交換過程是十分復雜的。為了保證有利于爐內熱交換的氣體流動,不同用途的爐子對爐內氣流狀態也有不同要求。這些要求是通過正確選擇爐型與合理布置燃燒裝置和排煙口的數量與位置來實現的。
三、燃氣、工業爐的熱力計算
在燃氣工業爐中,燃氣燃燒是基礎,加熱物料是目的,這兩者是通過熱交換而聯系起來的。工程上對新建工業爐需要進行熱力計算;對原有工業爐當燃氣種類改變時,需要進行熱力校核計算。此外,對工業爐進行改造或增設空氣、燃氣預熱器及廢熱鍋爐等也應進行熱力校核計算。
(一)燃氣工業爐的熱平衡
編制爐子的熱平衡,對于爐子設計和管理都是不可缺少的。在設計中,可以通過熱平衡計算,確定爐子的燃料消耗量:對工作中的爐子,也可以根據實測數據編制熱平衡來檢驗爐子的熱效率,通過熱工技術分析確定最佳的熱工操作制度。
在編制工業爐熱平衡時,首先必須劃定熱平衡的區域。進入這一區域的熱量力熱收入,離開這一區域的熱量則為熱支出。熱平衡區域的劃分,按實際需要而定,可以編制全爐熱平衡,也可以編制某一個區域的熱平衡,如爐膛熱平衡、換熱器熱平衡等。編制熱平衡的基準,對于連續操作的爐子(如金屬連續加熱爐),以單位時間為基準,平衡各項目的單位是kJ/h;對于間歇操作的爐子(如室狀爐),可以一個加熱周期(應包括周期的停歇時間)為基準,各平衡項單位是kJ/周期。同時,計算以標準狀態為基點。
1.爐膛熱平衡
爐膛熱平衡是全爐熱平衡的核心。圖3—9—9表示燃氣工業爐熱平衡區域。
?

(1)熱收入
1)燃氣的燃燒熱
?
式中 QC——燃氣的燃燒熱,kJ/h
HL——燃氣的低熱值,kJ/m3(干燃氣);
B——燃氣用量m3(干燃氣)/h。設計爐子時,燃氣耗量是待還應的未知數,其值按熱平衡式求出;在試驗工作中,用流量計測出燃氣用量。
2)空氣及燃氣的物理熱
?
式中 Qa、Qg——空氣和燃氣的物理熱kJ/h;
Va——過剩空氣系數為。時的實際空氣量m3/m3(干燃氣)。設計爐子時,Va值由燃燒計算求得;在試驗工作中,空氣的實際流量可直接測得;
ta、tg——空氣及燃氣的預熱溫度,℃;
ca、cg——0~ta及0~tg之間,空氣及燃氣的平均定壓容積比熱容,kJ/(m3·K)。
?
科技賦能,AI強安——談AI技術在石油…
危險化學品安全技術說明書(PDF版)
170種危險化學品安全技術說明書匯編
化工企業冬季安全生產須知——防火篇
化工企業冬季安全生產須知——防凍凝篇
有限空間作業如何預防窒息和中毒
有限空間作業切記注意安全!
夏季有限空間作業安全風險防范
危險化學品目錄(2015版)
危險化學品分類及其危險特性
對制度落實不到位的原因調查及解決辦…
職工安全生產的權利和義務
危險化學品的儲存
有限空間作業安全知識
柴油罐的存放
加油站安全知識手冊