解:(一)頭部計算
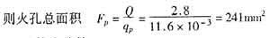
1. 計算火孔總面積Fp
按表3—6—7選取火孔直徑dp=2.8mm,一次空氣系數α′=0.6,相應火孔熱強度
qp=11.6×10-3kW/mm2,
?

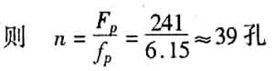
2.計算火孔數目n
dp=2.8mm時,一個火孔的面積fP=6.15mm2
?

3.火孔排列
火扎布置成兩圈,內圈孔數n1=9孔,外圈孔數n2=30孔。內圈火孔和外圈火孔軸線與燃燒器平面夾角為60°,火孔間距為:
s=2.5dP=2.5×2.8=7.Omm
4.計算火孔深度h
取火孔深2.3dp,則h=2.3×2.8=6.4mm
5.確定頭部尺寸
取頭部截面積為火孔總面積的兩倍。
則頭部截面積Fh=2×Fp/2=Fp\241mm2
相應的頭部氣流分配道直徑Dh=18mm
?

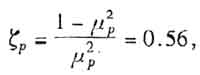
6.計算頭部能量損失系數K1
先取火孔流量系數μp=0.8,則火孔阻力系數??

,混合氣在火孔出口的溫度為t=100℃
則
?

(二)引射器計算
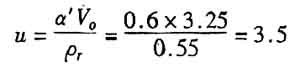
1.計算引射系數
?

2. 選取引射箭型式
選取1型引射器,如圖3—6—2l,其能量損失系數K=1.5。
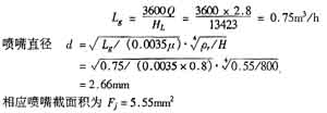
3.計算噴嘴直徑d
燃氣流量為;
?

4.計算最佳燃燒器參數F1op
?

5.計算參數A、X
?
?

6.計算引射器喉部面積和直徑
計算參數F1=X·Flop=0.31×0.81=0.25
喉部面積Ft=F1·Fp=0.25×241=60.25mm2
相應喉部直徑dt=8.76mm,取為9mm。
7.按1型引射器,可確定其它部位尺寸,如圖3—6—22所示。
?
科技賦能,AI強安——談AI技術在石油…
危險化學品安全技術說明書(PDF版)
170種危險化學品安全技術說明書匯編
化工企業冬季安全生產須知——防火篇
化工企業冬季安全生產須知——防凍凝篇
有限空間作業如何預防窒息和中毒
有限空間作業切記注意安全!
夏季有限空間作業安全風險防范
危險化學品目錄(2015版)
危險化學品分類及其危險特性
對制度落實不到位的原因調查及解決辦…
職工安全生產的權利和義務
危險化學品的儲存
有限空間作業安全知識
柴油罐的存放
加油站安全知識手冊