qz——次高壓管道所需供氣流量(折算成標準狀態),m3/h
n——所有次高壓一中壓調壓站的總數量
?
式中qu——清管器或檢測器上游進氣流量(折算成標準狀態),m3/h
qd——清管器或檢測器下游進氣的理論控制流量(折算成標準狀態),m3/h
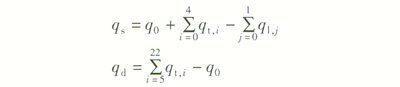
在1、2、3位置時,分別計算qs、qd的實例如下。
在位置1時,m=1,k=0,n=22,則:
?
在位置2時,m=4,k=1,n=22,則:
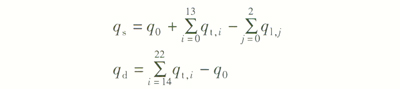
?
在位置3時,m=13,k=2,n=22,則:
?
發球門站的實際流量為SCADA系統采集的坪山門站的流量值;下游進氣的實際流量為SCADA系統采集的安托山門站流量、留仙洞高壓—次高調壓站流量、求雨嶺門站高壓一次高調壓橇的流量、清管器或檢測器下游的LNG應急氣化站流量之和。通過計算的理論控制值與SCADA系統采集的數據比較,調整進氣廠站的流量,進而控制清管器或檢測器的速度。
3.2 模塊功能
①內檢測設標點錄入與維護
a.增加設標點圖層,在圖層導航樹增加節點,控制圖層的顯示,按清管設標點、檢測設標點分不同符號渲染。
b.增加設標點圖層的空間屬性錄入、查詢及渲染功能。
c.對設標點進行空間分析,利用GIS渲染功能,讓即將到達的設標點閃爍顯示。
②數據標簽管理
清管模塊增加門站、LNG應急氣化站、次高壓—中壓調壓站、閥室的SCADA數據標簽管理:
a.增加門站進站流量、壓力及站內次高壓—中壓調壓橇流量的SCADA數據標簽、LNG應急氣化站流量的SCADA數據標簽。
b.增加次高壓—中壓調壓站流量、進站壓力的SCADA數據標簽。
c.增加閥室壓力的SCADA數據標簽。
③清管模塊中的作業管理
a.新建內檢測作業,輸入內檢測作業名稱、作業開始時間、預設清管器或檢測器的平均速度,選擇作業類型(清管作業或檢測作業)、作業起止門站,確認輸入后,模塊對內檢測設標點數據初始化處理。
b.作業過程中錄入清管器或檢測器到達設標點的實際時間及跟球人員信息。作業結束時,保存設標點的空間位置信息、環境信息、跟蹤方式、清管器或檢測器的預計到達時間、預設平均速度、實際平均速度、發球門站的理論控制流量、下游進氣理論控制流量、上游壓力、檢測人員等作業信息,信息可導出為Excel表格。
④作業路徑分析
a.根據起止門站進行拓撲分析,自動確定清管或檢測路徑。
b.根據選擇的作業類型自動過濾設標點。
c.對設標點進行空間分析,確定路徑上的點,逐點分析上游次高壓—中壓調壓站與最近的閥室,并自動計算其到發球門站的里程。
⑤作業過程相關參數的自動計算
a.獲取門站、次高壓—中壓調壓站、閥室壓力與流量的SCADA數據,利用GIS中支持SCADA數據標簽的算術表達式功能,解決次高壓—中壓調壓橇多路計量供氣的流量計算問題。
b.拓撲分析當前設標點的上游次高壓—中壓調壓站流量、上游最近閥室的壓力參數,根據給定公式計算理論推球輸氣流量、發球門站的理論控制流量、下游進氣理論控制流量。
c.選擇設標點,輸入實際到達時間與檢測人員,根據各設標點與門站的距離,自動計算通過該設標點的實際速度。
d.根據各設標點與門站的距離、作業開始時間、實際運行速度及清管器或檢測器下游各段的預設平均速度,計算清管器或檢測器下游各設標點的預計到達時間。每錄入一個清管器或檢測器通過設標點的實際時間,模塊就自動計算其實際運行速度,自動更新下游各設標點的預計到達時間。
e.即將到達的設標點閃爍顯示,并在GIS界面顯示發球門站的理論控制流量、發球門站實際流量、預設清管器或檢測器的平均速度和實際速度、預計到達時間等重要作業參數。
4 模塊的應用效果
在29次的清管作業、1次變形檢測的作業中,該模塊滿足設計要求,直觀地給調度及作業人員提供了詳細的作業信息,見圖2。
?
該模塊的應用效果主要體現在如下4個方面:
①清管器或檢測器的運行速度控制易于實現。通過清管模塊的作業界面顯示的發球門站理論控制流量和實際流量、下游門站的控制流量和實際流量,調度人員根據理論值與實際值的偏差,結合上一設標點的實際平均速度,調整門站供氣流量,實現球速(指清管器或檢測器的速度)控制。如第22次的清管作業中,跟球人員記錄的人工跟蹤設標點的球速均控制在1~3m/s。
②準確預測清管器或檢測器到達各設標點的時間,調度人員及時通知工藝操作組進行次高壓—中壓調壓站的停供、恢復,減少了停氣對用戶的影響。也使管道跟球小組的滾動式安排更合理,節省了人力。
每次錄入通過設標點的實際時間后,模塊自動進行預測到達時間的重新計算,自動更新預測時間。因此,在正常運行的情況下,預測到達時間與實際到達時間的偏差一般在5min以內。
③合理安排各供氣門站的供氣流量。界面顯示了下游進氣的理論流量、實際進氣流量、各供氣門站的實時流量,依據這些數據調整流量,與發球門站流量配合,實現球速的有效控制。
④數據的記錄、儲存功能。記錄、儲存的信息包括:設標點信息、預設清管器或檢測器的平均速度、實際速度、發球門站及下游進氣的理論控制流量、預計到達和實際到達設標點的時間、各設標點到發球門站的距離、上游閥室的壓力等。該信息為清管器或檢測器運行過程的分析、流量與球速關系的分析提供數據。
5 結語
在城市燃氣的GIS中進行清管模塊的開發,將信息化手段引入到內檢測作業中,幫助調度人員快速、全面地掌控清管器和檢測器的運行情況,快速調整管網工況以適應作業的工藝要求,有效調度各作業組,使人員安排更合理、有效,節省了人力成本,也提高了作業的可控性和安全性。
本模塊的不足之處在于無法完全依賴計算的理論控制流量實現球速的精確控制,雖然精度仍可滿足工程的要求。因為考慮模塊的通用性,在進行理論推球輸氣流量q0計算時忽略了以下方面因素對球速的影響:①壓力變化引起管道儲氣量變化,造成理論推球輸氣流量不等于實際推球輸氣流量。②不同類型的清管器及管道內潔凈度不同造成阻力不同。③管道所處的地形、穿越施工方式不同使清管器或檢測器自重對速度的影響不同。所以完全按發球門站的理論控制流量qs、下游進氣理論控制流雖q。進行球速的控制時,實際球速與理論球速存在一定的偏差。因此,在應用過程中需要調度人員根據前幾次清管器運行速度的歷史數據進行修正。通常實際球速與理論球速之比約為0.7~0.9,調度人員根據經驗在門站的流量控制上按適當比值修正,以更好控制球速。
?
參考文獻:
[1]高慧明,孟悅,井帥,等.城市燃氣管道內檢測技術[J].煤氣與熱力,2011,31(5):A34-A36.