摘要:建立并簡化了燃氣在室內泄漏后形成的濃度模型,分析了房間內泄漏燃氣的濃度與泄漏時間、泄漏強度、換氣次數和房間體積的關系。指出在燃氣發生泄漏事故采取措施降低濃度時,應注意整個空間及局部區域的燃氣濃度分布。
關鍵詞:燃氣泄漏;濃度模型;室內管道
Model and Analysis of Indoor Gas Leakage Mass Concentration
YU Chang,TIAN Guan-san
Abstract:The concentration model of indoor leakage gas is established and simplified.The relations of indoor leakage gas concentration to leakage time,leakage intensity,rate of ventilation and room volume are analyzed.It is pointed out that the concentration distribution of leakage gas in entire space and partial area should be paid attention when measures are adopted for gas leakage accidents to reduce the concentration.
Key words:gas leakage;concentration model;indoor pipe
? ??室內燃氣管道系統因腐蝕穿孔、接口及閥門密封材料老化、安裝質量不良等原因而造成燃氣泄漏。當燃氣在泄漏空間與環境空氣混合后濃度達到爆炸極限范圍,就會形成燃燒爆炸區域,遇到點火源時就會引起著火,甚至爆炸。
? ??本文從安全技術角度,分析燃氣泄漏后在周圍環境中形成的濃度變化規律,從而能夠有針對性地去預防、抑制、消除泄漏氣體導致的爆炸事故。
1 室內燃氣泄漏后燃氣濃度模型[1、2]
??? 當室內管道系統的燃氣發生泄漏后,燃氣以高速噴射到環境中,并帶動周圍空氣隨其流動。通過分子擴散以及室內通風的混合作用,燃氣由高濃度區向低濃度區擴散并迅速與周圍空氣進一步混合形成均勻混合的氣體[3]。
1.1 濃度模型的建立
??? 燃氣在室內泄漏時,其泄漏源可分為瞬時源和連續源兩種[4]。在有限空間爆炸而能夠形成具有一定半徑及高度的云團的泄漏源為瞬時源。瞬時源具有泄放時間短、泄放速率快的特點。例如,室內液化石油氣鋼瓶破裂或接口脫落、燃氣管道斷裂等原因造成的突然大量氣體泄漏屬于瞬時源;由于容器或管道系統腐蝕穿孔、接口及閥門密封材料老化等原因而產生氣體泄漏的泄漏源為連續源,其特點是泄漏時間長,并且較穩定。
??? 為了簡化計算泄漏的燃氣量。認為當室內管遭系統發生泄漏時管道內的壓力受泄漏狀態的影響較小而忽略不計,泄漏源為定常態連續源,即泄漏強度是與泄漏時間無關的穩定量。燃氣泄漏到室內環境中的質量可由下式確定:
??? m=qmt??? (1)
式中m——燃氣泄漏量,kg
??? qm——燃氣泄漏強度,kg/s
??? t——泄漏時間,s
??? 為了建立燃氣泄漏后形成的濃度模型,作以下假設:泄漏的燃氣和室內空氣的混合過程瞬間完成,認為泄漏到室內的燃氣濃度呈均勻分布;室內存在不同程度的自然通風,認為通風為等溫過程;室外空氣及開始泄漏之前室內空氣中燃氣含量均為零。
??? 根據以上假設,則在微小的時間間隔dt內,燃氣泄漏到室內的質量與從室內排出的質量之差應該等于整個房間內燃氣質量的變化量,即:
??? qmdt-ρqvdt=VFdρ??? (2)
ρt=0=0??? ??????????(3)
式中ρ——燃氣的質量濃度,kg/m3
qv——單位時間通風量,m3/s
VF——房間容積,m3
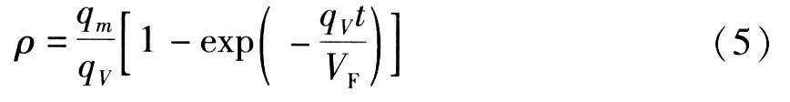
將式(2)變形為微分形式并運用初始條件式(3)對其積分可得下式:
?
對式(4)進行交換,可得到任意時刻室內燃氣質量濃度計算公式:
?
1.2 濃度模型的簡化
當式(6)成立時,可對非線性函數式(4)進行簡化。將等式右側用冪級數展開并忽略高階無窮小項,近似取展開式前兩項進行,則式(4)可簡化為用于確定單位時間通風量的計算式(7)。
?
當泄漏時間t趨近無窮大時,有式(8)成立。此時,可近似認為室內燃氣濃度已趨于穩定,則式(5)可簡化為式(9)。
? 
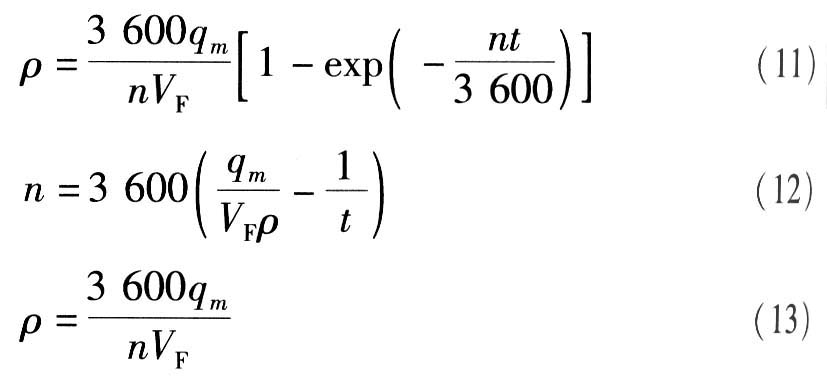
實際工程中,一般習慣用房間換氣次數來表示單位時間的通風量,房間換氣次數按下式確定:
?
式中n——房間換氣次數,次/h
引入房間換氣次數后,式(5)、(7)和(9)可分別改寫為如下形式:
?
2 燃氣泄漏濃度模擬計算與分析
??? 本文對3中常用的城市燃氣(焦爐煤氣、天然氣、氣態液化石油氣)泄漏后在室內環境形成的質量濃度與泄漏時間、泄漏強度、換氣次數,房間容積的關系進行了模擬分析。所選用的3中燃氣的組成見表1。通過計算,確定上述3種城市燃氣的質量爆炸下限[5]:焦爐煤氣為21.95g/m3,天然氣為37.87g/m3,LPG為41.79g/m3。
表1 焦爐煤氣、天然氣與液化石油氣的組成
%
燃氣名稱 | 體積分數/% |
H2 | C0 | CH4 | C2H6 | C3H6 | C3H8 | C4H8 | C4H10 | C5+ | N2 | 02 | C02 |
焦爐煤氣 | 59.O | 8.6 | 23.6 | 0.0 | 2.0 | 0.0 | 0.0 | 0.0 | 0.0 | 1.2 | 3.6 | 2.0 |
天然氣 | 0.0 | 0.0 | 96.5 | 0.2 | 0.0 | 0.0 | 0.0 | 1.7 | 0.0 | 1.0 | 0.0 | O.6 |
LPG | O.0 | 0.0 | 1.5 | 1.0 | 9.0 | 4.5 | 54.0 | 26.2 | 3.8 | 0.O | 0.0 | 0.O |
?在模擬計算時,作如下沒定條件:燃氣通過室內管道系統穿孔泄漏且泄漏強度為常量;燃氣泄漏后與房間內空氣的混合過程瞬間完成,忽略泄漏源位置對房間燃氣濃度分布的影響,因此計算的濃度為與空間位置無關的整個房間的均一濃度;泄漏房間可通過門窗改變通風量且不考慮門窗位置,認為通風對室內燃氣濃度的稀釋是均勻的;對于房間容積的選取,由于目前我國城鎮居民住宅廚房的面積差異較大,根據建設部2006年發布的《住宅整體廚房》標準,對于未來新建住宅廚房的使用面積不應小于4m2,本文計算時取廚房使用面積為2~17m2,按國標規定居民建筑的凈層高不小于2.6m,因此廚房的容積為5~45m3。
?? ?① 燃氣質量濃度與泄漏時間的關系
燃氣泄漏到室內環境后,隨著時間的推移,燃氣濃度隨之發生變化。為了分析泄漏房間內燃氣質量濃度與泄漏時間的關系,計算時考慮居民住宅廚房大小,選取房間體積為15m3,泄漏強度為1.0g/s,通過改變換氣次數進行模擬,結果見圖1。可以看出,在泄漏強度一定的條件下,燃氣濃度受通風的影響較大,且換氣次數越大影響越明顯。當換氣次數大于5.0次/h、泄漏時間大于1500s時,室內燃氣的質量濃度基本趨于穩定。而當換氣次數較小時,在泄漏時間內通風對泄漏燃氣濃度的稀釋作用較弱。