摘要:論述了城市高壓輸氣管道安全控制的現狀,造成城市高壓輸氣管道破裂泄漏的主要潛在危險因素,高壓輸氣管道破裂泄漏事故過程分析,泄漏量、噴射火焰高度、爆炸沖擊波損害半徑的計算,提出了天然氣高壓輸氣管道及設施的安全防范措施。
關鍵詞:高壓輸氣管道;泄漏;數學模型;安全評價
Impact Analysis of Leakage Accident due to Breakage of High-pressure Gas Transmission Pipeline
YANG Guang,GU Kai
Abstract:A discussion is made on the present status of safety control of city high-pressure gas transmission pipeline,the main potential risk factors causing breakage leakage of city high-pressure gas transmission pipeline,the process analysis of leakage accident due to breakage of high-pressure gas transmission pipeline,and the calculation of leakage quantity,spray flame height and damage radius of blast shock wave. The safety prevention measures for high-pressure natural gas transmission pipeline and facilities are put forward.
Key words:high-pressure gas transmission pipeline;leakage;mathematical model;safety evaluation
1 城市燃氣高壓管道現狀
??? 我國的城市燃氣管網建設早期參照蘇聯的模式,主要通過對安全間距的控制來提高管網的安全性,輸送壓力越高,安全間距越大,從而降低事故損失,其有效性顯而易見。因此,高壓管道通常建設在城市外圍人口密度小、路面寬闊的道路下面。但是,我國城市化進程不斷加快,城市建設日新月異,不可再生的土地資源越來越稀缺,地價飛漲,原先埋設在城市邊緣的高壓輸氣管道兩邊人口變得越來越稠密,高樓、學校、工廠、地鐵、城市快速路建設,使這類地區變成城市三類、四類地區,地下各類市政設施變得擁擠,例如電纜溝、排水管、地鐵、人防、高層建筑的地下室等,使高壓燃氣管道的安全性越來越引起人們的重視。
??? 面對這些新問題,我們需要有針對性地對城市高壓輸氣管道潛在的危險因素加以分析,尤其對高壓管道破裂,天然氣泄漏后的影響范圍、危害性認真研究,從而及時有效地采取防范措施,在事先預防、事中控制、事后處置的過程中,建立起一套適合自身特點的事故預警和應急處置機制。
2 造成管道破裂泄漏的主要潛在危險因素
??? 外力破壞是目前高壓輸氣管道破裂造成天然氣泄漏主要危險因素,包括人為破壞和自然災害破壞。人為破壞主要指第三方破壞,即不在管道單位的巡查及監督管理下,施工單位野蠻施工挖破管道、沿線違章騎壓管道、運移土層,造成管道暴露及懸空等,致使輸氣管道破裂,天然氣大量泄漏,其主要行為有打樁、挖掘、打地質探測井、定向鉆、大開挖等機械施工。自然災害破壞主要指在臺風、地震、暴雨、洪水、地基塌陷等情況下,發生泥石流、土層移動、坍塌等,造成管道暴露、懸空及位移,受外力而破壞[1]。
??? 另外,造成管道破裂的其他因素還有施工安裝缺陷、燃氣管道腐蝕失效、燃氣管道材料選用不當等。
3 高壓輸氣管道破裂事故分析[2、3]
??? 高壓輸氣管道破裂后天然氣泄漏事故過程可以分為4個階段:泄漏、形成火球、噴射火焰、爆炸。根據國內外的經驗和實際發生的案例,高壓輸氣管道破裂后發生泄漏、形成火球、噴射火焰、爆炸的概率分別為0.90、0.01、0.05、0.04。
??? ① 泄漏
??? 由于天然氣比空氣輕,管道內的天然氣泄漏后會在泄漏點上空積聚并不斷向上擴散,這是事故發生的初始階段,也是最有利于控制,將危害降低到最小的關鍵時期。這一時期采取的最有效控制措施包括:迅速切斷泄漏點上下游閥門,從源頭控制泄漏量,用消防水對破裂處噴水,防止因天然氣噴射流速過高產生靜電起火,同時對泄漏天然氣進行稀釋。
? ??② 形成火球
? ??天然氣泄漏后若尚未與空氣充分混合即被點燃,屬擴散式燃燒,形成球形或半球形火體,對周圍產生強烈的熱輻射。
? ??③ 噴射火焰
? ??從破裂口噴出的天然氣被引燃并穩定燃燒,就形成噴射火焰,對周圍人員、財產造成危害。這時候不能立即將從破裂口噴出的天然氣火焰撲滅,而是應該首先將破裂口上、下游閥門關閉,防止火焰被熄滅后,新噴出的天然氣再次積聚,造成更大的威脅。
??? ④ 爆炸
??? 大量天然氣迅速泄漏到大氣中,當天然氣和空氣的混合物處在爆炸極限范圍內,遇到明火、靜電等點火源,則可能發生爆炸。這時的影響范圍非常大,瞬間會形成高溫氣體,造成強的熱輻射和沖擊波,對周圍建筑物和人員造成大的傷害,其危害性遠大于其他階段。
4 數學模型建立與分析
??? 國內外相關資料表明,形成火球階段受外界條件制約較多,過程短,出現概率小,相關數據資料較少。因此,我們著重對高壓輸氣管道破裂后氣體泄漏、噴射火焰、爆炸這3個過程建立數學模型進行分析。以廣東進口天然氣組成為例,對ф508、運行壓力為1.6MPa的城市次高壓輸氣管道破裂泄漏的影
響進行分析。
??? ① 泄漏
??? 高壓輸氣管道破裂后,大量的天然氣從破裂口噴射出來,泄漏危害范圍近似一個扇形區域,其扇形的擴散角約40°[4]。管道中天然氣泄漏質量流量與其流動狀態有關。當式(1)成立時,泄漏口天然氣噴射屬于聲速流動:
??? 
式中p0——環境大氣壓力,Pa
??? p——管道內天然氣絕對壓力,Pa
??? κ——氣體等熵指數,天然氣取1.29
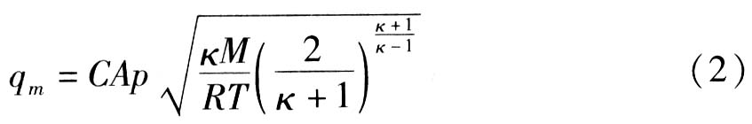
??? 經計算,該管道破裂后泄漏口天然氣流動狀態為聲速流動,泄漏質量流量按式(2)計算[4]:
??? 
式中qm——天然氣泄漏質量流量,kg/s
??? C——氣體泄漏系數,與裂口形狀有關,裂口形狀為圓形時取1.00,三角形時取0.95,長方形時取0.90
??? A——裂口面積,m2
??? M——天然氣摩爾質量,kg/mol,取18.3kg/mol
??? R——摩爾氣體常數,J/(mol·K),取8.314J/(mol·K)
??? T——天然氣溫度,K,取293K
??? 為了便于分析,我們設定前提條件:在泄漏過程中管道內天然氣壓力恒定為1.6MPa,裂口形狀為圓形,C=1.00。由此我們可以得到高壓輸氣管道破裂后泄漏量與泄漏時間的關系見式(3),計算結果見表1。
??? m=qmt??? (3)
式中m——泄漏量,kg
??? l——泄漏時間,s
表1 高壓輸氣管道破裂后裂口面積、泄漏時間與泄漏量的關系
?
裂口面積A/m2 | 天然氣泄漏質量流量qm/(kg·s-1) | 泄漏時間t/s | 泄漏量m/kg |
3.14×10-4 | 0.97 | 60 | 58.2 |
300 | 291.0 |
900 | 873.0 |
19.62×10-4 | 6.08 | 60 | 364.8 |
300 | 1824.0 |
900 | 5472.0 |
78.50×10-4 | 24.34 | 60 | 1460.4 |
300 | 7302.0 |
900 | 21906.0 |