摘要:論述了城市燃氣泄漏模型(小孔泄漏模型、管道泄漏模型、其他泄漏模型)和擴散模型(高斯模型和重氣擴散模型)的主要內容及適用條件。
關鍵詞:燃氣泄漏;泄漏模型;擴散模型
Discussion on Models for Gas Leakage and Diffusion
PENG Shi-ni,ZHOU Ting-he
Abstract:The main content and applicable conditions of city gas leakage models(pore leakage model,pipeline leakage model and other leakage model)and diffusion models(Gaussian model and heavy gas diffusion model)are discussed.
Key words:gas leakage;leakage model;diffusion model
? ??燃氣泄漏是燃氣供應系統中最典型的事故[1]。在燃氣的儲存、輸配及使用過程中,由于人為或自然原因導致泄漏,燃氣泄漏后在空氣等介質中擴散并積聚,當達到一定濃度時遇到火源會產生爆炸并引起火災。燃氣泄漏后果的嚴重程度主要取決于泄漏量和擴散范圍,而泄漏量又與泄漏源強度及泄漏時間有關。因此,燃氣的泄漏強度和擴散范圍是分析泄漏與擴散以及預測評價事故后果的基礎和參考依據。本文針對城市燃氣泄漏模型和擴散模型進行探討。
1 泄漏模型
1.1 小孔泄漏模型
??? 小孔泄漏模型適用于穿孔泄漏的情形,穿孔泄漏是指管道或設備由于腐蝕等原因形成小孔,燃氣從小孔泄漏。常見的穿孔直徑在10mm以下,對于穿孔直徑在20mm以下的泄漏可以使用該模型。小孔泄漏一般是長時間持續穩定泄漏且具有泄漏點多、不易察覺、潛在危險大的特點。
? ??對于小孔泄漏模型,按照其泄漏燃氣相態的不同,可分為氣體流泄漏、液體流泄漏和氣液兩相流泄漏3種形式[2]。
??? ①氣體流泄漏強度[1~6]
??? 較普遍的氣態燃氣泄漏強度的計算是按照伯努利方程推導所得,氣體從孔口泄漏的強度與其流動狀態有關。因此,要確定泄漏時氣體流動屬于聲速流動(臨界流)還是亞聲速流動(次臨界流),可以用臨界壓力比來判斷:
???

式中β——臨界壓力比
??? p0——環境絕對壓力,Pa
??? pc——泄漏口燃氣的臨界壓力,Pa
??? κ——燃氣等熵指數
??? 燃氣等熵指數,κ是溫度的函數,理想氣體的,κ可近似當作定值,對于雙原子氣體取1.4,多原子氣體取1.29,單原子氣體取1.66。對于天然氣等由多原子分子組成的氣體,κ可近似取1.29。
???

式中qm——泄漏強度,kg/s
??? Cg——氣體泄漏系數
??? A——泄漏口面積,m2
??? p1——容器內燃氣的絕對壓力,Pa
??? M——燃氣的摩爾質量,kg/mol
??? Z——壓縮因子
??? R——摩爾氣體常數,取8.314J/(mol·K)
??? T1——容器內的燃氣溫度,K
??? 氣體泄漏系數與泄漏口的形狀有關,泄漏口為圓形時取1.00,三角形時取0.95,長方形時取0.90,由內腐蝕形成的漸縮小孔取0.90~1.00,由外腐蝕或外力沖擊形成的漸擴孔取0.60~0.90。壓縮因子可以根據燃氣的對比壓力和對比溫度查燃氣壓縮系數圖得到,當壓力小于1.6MPa時,常溫燃氣可近似認為是理想氣體,取Z=1。
??? 一般情況下,管道或壓力容器中的燃氣以氣態儲存,發生泄漏后的泄漏量可以按照氣體流泄漏強度模型進行計算。
??? ② 液體流泄漏強度[1、7、8]
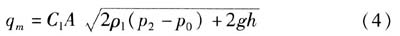
燃氣以加壓液化或低溫液化的形式儲存在壓力容器內,當發生泄漏時可認為燃氣以液相流出,在通過孔口的同時可能急劇氣化流出到大氣中。假設在液面以下某一高度處發生泄漏,分別選取液面和泄漏孔口出流斷面收縮處為截面列出伯努利能量方程,并整理可得液體流泄漏強度的計算公式:
?

式中C1——液體泄漏系數
??? ρ1——液體的密度,kg/m3
??? p2——容器內液體的絕對壓力,Pa
??? g——重力加速度,取9.8m/s2
??? h——泄漏口之上的液體高度,m
??? 液體泄漏系數與液體的雷諾數及泄漏口的形狀有關。當雷諾數Re>100時,泄漏口為圓形孔取0.65,三角孔取0.60,長形孔取0.55;當雷諾數Re≤100時,對應上述形狀泄漏口的泄漏系數分別取0.50、0.45和0.40;不明流態時泄漏系數取1。
??? 由式(4)可以看出,壓力容器中液態燃氣的泄漏強度取決于壓力容器內外的壓力差和泄漏口之上的液體高度。
??? 當液化石油氣、液化天然氣等從壓力容器液相空間中泄漏時,其泄漏量可使用液體流泄漏模型進行計算。
??? ③ 氣液兩相流泄漏強度[1、2、8]
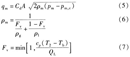
??? 對于過熱液體的泄漏,在流過泄漏孔時會出現氣、液兩相流動,這種流動兼有氣體泄漏和液體泄漏雙重特點。均勻兩相流泄漏的泄漏強度可以按照下式計算:
???

式中Cd——兩相流泄漏系數
ρm——兩相混合物的平均密度,kg/m3
??? pm——兩相混合物在容器內的絕對壓力,Pa
??? pm,c——兩相}昆合物的臨界壓力,Pa,一般取0.55pm
??? Fv——閃蒸率,即液體蒸發的質量占液體總質量的比例
??? ρg——液體蒸氣的密度,kg/m3
??? cp——兩相混合物的比定壓熱容,J/(mol·K)
??? T2——液體的儲存溫度,K
??? Tb——液體在常壓下的沸點,K
??? QL——液體的蒸發熱,J/kg
??? 當Fv<<1時,可認為泄漏的液體不會發生閃蒸,此時按照液體流泄漏強度公式計算,泄漏出來的液體會在地面上蔓延,遇到防液堤而積聚成液池。當Fv>0.2時,可以認為不會形成液池。當Fv<1時,泄漏量按兩相流泄漏強度公式計算。當Fv=1時,泄漏出來的液體發生完全閃蒸,此時按氣體泄漏強度公式計算。
??? 對于液化石油氣、液化天然氣等液體從壓力容器氣相空間中泄漏時,其泄漏量可使用氣液兩相流泄漏模型進行計算。