新建埋地鋼質燃氣管道強制電流陰極保護設計
作者:高鵬 王亞平 康志剛 李志 張艷
評論: ?
收藏本頁
3.2 保護電流計算
??? 強制電流陰極保護的保護電流按下列公式計算:
??? I=2I0=2πDipL??? (5)
式中I——保護電流,A
??? I0——單側保護電流,A
3.3 輔助陽極接地電阻計算
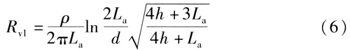
??? 在h>>d條件下,單支立式陽極接地電阻按下式計算:
??? 
式中Rv1——單支立式陽極接地電阻,Ω
??? La——陽極長度(含填料),m
??? d——陽極直徑(含填料),m
??? h——輔助陽桉埋深(填料頂部距地表面),m
??? 在h>>La條件下,深埋式陽極接地電阻按下式計算:
??? 
式中Rv2——深埋式陽極接地電阻,Ω
??? 在La>>h條件下,單支水平式陽極接地電阻按下式計算:
??? 
式中Rh——單支水平式陽極接地電阻,Ω
3.4 陽極組接地電阻的計算
??? 陽極組接地電阻按下式計算:
??? 
式中Ra——陽極組接地電阻,Ω
??? F——修正系數,查SY/T 0036—2000規范中“圖4.0.6”
??? Rv——單支陽極接地電阻,Ω
??? n——陽極數量,支
3.5 陽極質量的計算
??? 陽極的質量應能滿足陽極最小設計壽命的需要,按照下式計算:
??? 
式中m——陽極總質量,kg
??? t——輔助陽極設計壽命,a
??? g——輔助陽極消耗率,kg/(A·a)
??? K——輔助陽極利用系數,取0.70~0.85
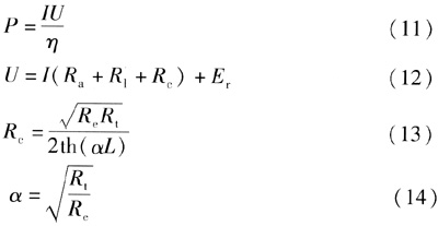
3.6 電源功率的計算
??? 強制電流陰極保護系統的電源功率按下列計算:
??? 
式中P——電源功率,W
??? U——電源設備的輸出電壓,V
??? η——電源效率,一般取0.7
??? Rl——導線電阻,Ω
??? Rc——陰極(管道)與土壤界面過渡電阻,Ω
??? Er——陽極地床的反電動勢,V,焦炭填充時取2V
??? Re——防腐層過渡電阻,Ω·m
??? α——管道衰減因數,m-1
4 工程設計
4.1 陽極地床類型的選擇
??? 強制電流陰極保護按照輔助陽極地床的不同分為淺陽極地床和深陽極地床。對于城市周邊的陰極保護站,只要地質條件允許,一般建議采用深陽極地床,以減少陰極保護電流對鄰近埋地金屬構筑物的影響,并減少征地范圍,避免地床在運行中被破壞。
??? 淺陽極地床一般適用于長輸管道,或者地質條件不宜安裝深陽極地床的地區;陽極區占地面積一般為100~150m2,埋深為2~5m,不容易產生氣阻;施工比較簡單,施工費用低;陽極一般為高硅鑄鐵陽極,價格便宜;但容易產生屏蔽問題,部分管道無法受到有效的陰極保護,并且對鄰近埋地金屬構筑物的影響非常大。
??? 深陽極地床一般適用于城市內管網、長輸管道、站場內密集管網和地表土壤電阻率高而地下土壤電阻率低的地區;陽極區占地面積一般為6~10m2。埋深為30~100m,如果施工不當,容易產生氣阻;施工技術難度大,施工費用較高;陽極一般為高硅鑄鐵陽極、鈦陽極(金屬氧化物陽極)等,價格較高;屏蔽問題比淺陽極地床少,局部個別管段可能無法受到有效的陰極保護,對鄰近埋地金屬構筑物的影響較小。
4.2 陽極種類與規格的選擇
??? 常用的輔助陽極材料為高硅鑄鐵陽極和鈦陽極(金屬氧化物陽極),建議在淺陽極地床系統中采用高硅鑄鐵陽極,深陽極地床系統中采用鈦陽極(金屬氧化物陽極),陽極規格根據計算確定。
4.3 電源設備的選擇
? ??一般情況下選用整流器和恒電位儀。由于埋地管道的保護電流隨時間變化很小并且很慢(以月為周期),在國外多用整流器。恒電位儀具有恒保護電位與恒保護電流的功能,在國內發展很快,幾乎占領了埋地管道陰極保護的整個領域[8]。根據實踐經驗,對于自然條件惡劣的地點,應選擇整流器;在選擇恒電位儀時,不必追求所謂的智能型、遠控式等功能,因為目前對此沒有統一的標準,這類儀器的可靠性需要實踐的檢驗。由于許多天然氣公司已經建立了SCADA系統,在選擇恒電位儀時應考慮標準信號采集的要求。
4.4 測試系統
??? 通過設計電流測試樁、電位測試樁、絕緣裝置測試樁和埋地檢查片來測試陰極保護系統的各項參數。一般按照每1km距離設計1處電位測試樁,每5~8km距離設計1處電流測試樁。在絕緣法蘭(絕緣接頭)處應設計絕緣裝置測試樁,以檢測絕緣效果。埋地檢查片則用來評價陰極保護的保護度,可以考慮按照一定的管網規模安裝1處埋地檢查片,方便以后定期開挖檢測。測試樁應設有長效埋地參比電極和與管道同材質的輔助試片。在實踐中可以采用測試井來代替測試樁。
4.5 電絕緣裝置
??? 沒有絕緣體就沒有陰極保護[9],管道的保護段與非保護段、管道與套管、管道與支架、管道與管橋之間應有可靠的電絕緣措施??梢酝ㄟ^設置絕緣法蘭(絕緣接頭)、聚乙烯墊塊等手段達到絕緣的目的。其技術要求按照SY/T 0086—95《陰極保護管道的電絕緣標準》執行,應注意同時設計防雷電過電流保護設施(避雷器、接地電池等)。