2.2 動態泄漏擴散研究
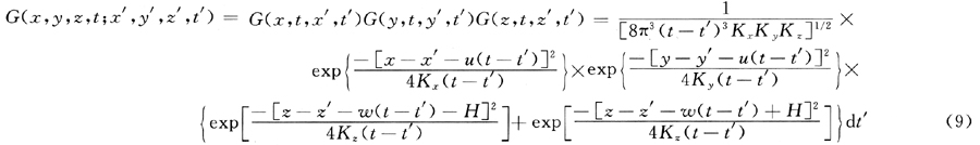
??? 根據動態泄漏率不定常的特點,以氣體動力學理論和湍流擴散微分方程為基礎,結合相應的初始條件和邊界條件,利用格林函數進行推導,可得綜合擴散模型格林函數為:
???

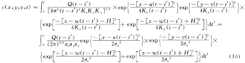
則該模型的濃度積分表達式為:
?

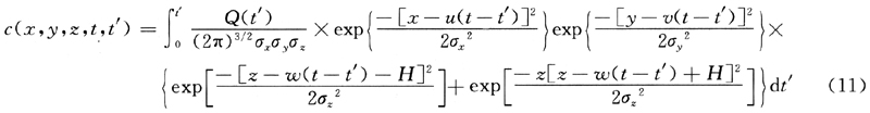
t’≠t當時,即泄漏源不是連續源也非瞬時源時,此時,上式中的Q(t-t’)應取泄漏源Q(t’),則非連續源非穩態泄漏擴散模型計算式應修正為:
?

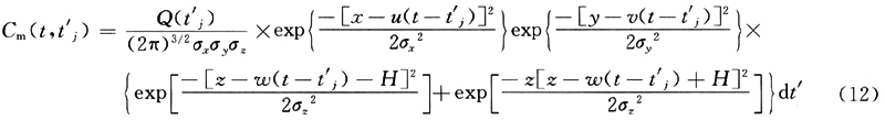
當泄漏率(Q)是時間的規則函數時,可以直接利用上式進行計算。但當閥門關閉時,管道泄漏為非穩態泄漏,此時的Q不是時間的規則函數,為避免積分過程中的不可積性,此時以分段求和法(分段積分法)來進行求解。令:
?

令t1=0,tN=t’,當時間較短時,取N=1000足可以滿足工程計算精度需求。則對任意時刻任意點處的濃度計算式為:
?

??? 當泄漏為地面點源泄漏時,則令上述各式中的H=0,所得各式就為地面源泄漏模型。
??? 式(6)~(13)中相關參數及意義詳見文獻[1]。
2.3 泄漏危險性分析
??? 1) 以一給定時間內燃氣致傷亡濃度來分析研究泄漏氣體擴散的單純危險性,即此時的傷亡范圍值。
??? 2) 泄漏火災爆炸事故的危險性主要可從兩個方面來分析:一是發生火災爆炸事故的可能性;二是發生事故后所造成的破壞危險范圍。其分析手段通過以泄漏擴散中心點為燃爆點,以熱致傷和超壓-沖量綜合準則來研究沖擊波致傷,分析研究擴散氣體燃燒爆炸所造成的危險性;分析各影響因素對泄漏危險性的影響。
2.4 區域風險評價關鍵技術研究
??? 城市燃氣風險是指由各種原因引起的對人類社會及自然環境產生破壞、損害及至毀滅性作用的城市燃氣事故發生的概率及其后果。區域風險評價[9~10]主要是針對區域內的危險源在區域內某一固定位置致使人員的個體死亡概率進行研究。根據風險的定義可知,風險是造成損失的可能性大小,因此,它不可能是一個確切的值,應當是一個模糊的界于一個區間變化的值。而在現有研究[7~9]中,均將其視為一個確切的數值,在一定程度上說,是不準確的。另外,在現有風險評價中忽略了許多影響事故風險的相關因素。因此,下面,將圍繞城市燃氣區域風險評價的關鍵技術給予基礎分析。
2.4.1燃氣區域風險評價綜合模型
??? 據上述分析,當事故發生時,事故所造成的危險性不僅與事故本身的危險性有關,還與救災系統與預警系統的完善度、抗災能力的大小等降災因素有著密切的關系,同時還與空間位置有著相當的關系。但由于三維空間風險需要考慮的因素很多,同時其結果也需要利用三維圖形來顯示,這給在現階段采用軟件來表示結果帶來了相當的困難,并且,其結果也無法在二維地圖上顯示出來。因此,將忽略空間方向上的影響,提出如下二維空間個體風險綜合評價模型:
??? RP,s,d(x,y)=fsvs,des,d(1-h)??? (14)
式中:RP,s,d(x,y)為燃氣事故在空間位置(x,y)處所產生的第s個情景事故,即泄漏、火災和爆炸事故所造成的第d類傷害(死亡、重傷和輕傷)食體危險性;fs為第s個情景事故發生的模糊概率值;vs,d為第s個情景事故發生時在(x,y)所產生的第d類事故的可能性,即概率值;es,d為第s個情景故事發生時的環境因素對事故的影響因子;h為考慮救災等因素在內的降災因子。
??? 區域風險評價不僅關心事故發生時的個體風險,更關心社會風險的大小。而社會風險與個體風險存在較大的差異。以下將針對社會風險給予分析。
??? RN,s,d(x,y)=RM,s,d(x,y)ρP=fsvs,des,d(1-h)ρP??? (15)
式中:RN,s,d(x,y)為燃氣事故在空間位置(x,y)處所產生的第s個情景事故即泄漏、火災和爆炸事故所造成的第d類傷害(死亡、重傷和輕傷)社會風險;ρP為區域內空間位置(x,y)處人口密度值。
fs的計算方法,可根據文獻[1]、[10]相關資料,借助文獻[11]的方法來進行確定和計算。vs,d的計算,可采用如下關系式來計算:
?

式中:Lc為燃氣濃度、沖擊波、當量熱輻射值為c時,單位時間內對人體的傷害概率值。
2.4.2基于GIS的區域風險表達
??? 區域風險評價的關鍵還是首先要確定出二維地理空間上各點的風險值。然而,地理空間相對來說較大,故此需要采用網格化二維地理空間,以方便風險分析和求解。網格化過細,精度高,但卻相當煩瑣,且在實際應用中的效果也不好,反之,如果太過粗略,計算精度卻又無法達到應用的要求。故此,需根據地理空間和實際應用的具體情況來進行合適精度的網格劃分。
??? 個體和社會區域風險的表達方法,將分別采用各網格點的風險值所處等級,進行各等風險點聯匯,并利用相關等級顏色在GIS所表達的地圖上進行等級色彩渲染。
3 結論
??? 1) 為了提高報警的精確度,排除誤報警的可能性,提出了基于首末端監控的雙向同步仿真與實地監測相結合的時差最小化的三色泄漏定位方法,并針對其實現關鍵技術做了探討和分析。
??? 2) 對多參數動態非定常泄漏、擴散綜合計算數學模型及相關難點進行了研究,解決了目前在非定常泄漏及擴散技術模型存在的不足。同時,對燃氣濃度極限和沖擊波致人傷亡的危險性給予了分析,為獲得高精度泄漏危險性和對已發事故的分析和再現提供了參考。
??? 3) 提出了基于GIS并綜合考慮救災系統與預警系統的完善度、抗災能力的大小等降災因素的城市燃氣管網區域風險評價。
參考文獻
[1] 張甫仁.燃氣管網系統安全性及仿真的理論分析與應用研究[D].天津:天津大學,2005.
[2] 張甫仁.燃氣管線動態泄漏擴散的危險性分析[J].重慶建筑大學學報,2007,29(2):103-109.
[3] HELENA MONTIEL,JUAN A V,JOAQUIM CASAL,et al. Mathematical modeling of accidental gas release[J].Journal of Hazardous Materials,1998,59:211-233.
[4] 劉恩斌,彭善碧,李長俊,等.基于瞬態模型的油氣管道泄漏檢測[J].天然氣工業,2005,25(6):102-104.
[5] 張紅兵,李長俊,彭善碧.輸氣管道故障診斷中的實時模型法[J].天然氣工業,2005,25(10):103-105.
[6] 馮健,張化光.管道泄漏計算機在線檢測系統及其算法實現[J].控制與決策,2004,19(4):377-382.
[7] 蔡正敏,彭飛,易發新,等.長輸管道泄漏故障診斷方法的研究[J].應用力學學報,2002,19(2):38-43.
[8] 張涵信,沈孟育.計算流體力學——差分方法的原理和應用[M].北京:國防工業出版社,2003.
[9] 劉桂友,徐琳瑜.一種區域環境風險評價方法——信息擴散法[J].環境科學學報,2007,27(9):1549-1556.
[10] 吳宗之,多英全,魏利軍,等.區域定量風險評價方法及其在城市重大危險源安全規劃中的應用[J].中國工程科學,2006,8(4):46-49.
[11] 陳國華,張靜,張暉,等.區域風險評價方法研究[J].中國安全科學學報,2006,16(6):112-117.