摘要:匯氣管是天然氣集輸和分配中必不可少的重要設備之一,具有壓力高、數量大的特點,因而要求匯氣管的設計要確保其安全可靠,包括對其壁厚計算公式的正確運用、各個重要設計參數的正確理解和準確計算。為此,以陜京二線京58地下儲氣庫群某10MPa采氣生產匯氣管的設計為例,論述了開口模壓拔制高壓匯氣管的設計過程,分析了高壓拔制匯氣管直管段厚度的計算公式,比較了強度計算公式與SW6采用的強度計算公式的不同之處,指出了使用SW6進行其直管段壁厚計算存在的弊端;結合具體拔制工藝,討論了主要設計參數的確定,并根據這些參數的關系繪制了具體的開孔補強圖,對實例中的兩個主要支管進行了詳細計算,得出了各個參數的計算結果。對油氣長輸管道工程同類匯氣管的設計具有參考價值。
關鍵詞:高壓;匯氣管;拔制;安全;設計;壁厚計算;開孔補強;參數確定
??? 在天然氣集輸和長輸管道工程中,需要使用大量匯氣管進行天然氣的匯集和分配。作為壓力管道設備的匯氣管,在筒體開口的結構上有兩種形式,一類是傳統的焊接結構,另一類是開口模壓拔制結構。焊接結構即匯氣管上的開口接管采用無縫鋼管或鍛制加厚接管與筒體焊接,其特點是制造工藝比較成熟、簡單,適用于壓力比較低的匯氣管和壓力容器。拔制結構即對筒體上開口位置以加熱方式用模具在壓力下拔出一個開口接管,接管與筒體是一個整體,其過渡區為圓弧過渡形式[1]。對于拔制工藝,主管壁厚不僅要滿足高壓下的強度要求,還要為支管提供所有材質并滿足開孔補強,因此,拔制工藝主管的筒體壁厚相對較厚;另外,受拔制水平的影響,開口接管的拔制高度不會太高。但是對于高壓匯氣管,開口模壓拔制結構在外觀、結構受力和焊接接頭缺陷的避免上都優于開口焊接結構。為此,以陜京二線京58地下儲氣庫群某10MPa采氣生產匯氣管的設計為例,介紹開口模壓拔制高壓匯氣管的具體設計過程,包括主要參數的計算、壁厚計算公式與GB150內壓圓筒計算公式的比較以及重要結構參數的確定。
1 結構簡介及設計參數
??? 陜京二線京58地下儲氣庫群某10MPa采氣生產匯氣管安裝在地面上,對井場來氣進行采收與匯集。匯氣管由主管(DN400)、橢圓形封頭以及1個氣體出口(DN350)、10個氣體進口(DN150)和3個壓力檢測口(DN15)組成。主管外徑為426mm,長度為18.6m;氣體出口外徑為356mm,端部直接與外部管道焊接;氣體進口外徑為168mm,端部配有單面法蘭,與來氣管道通過法蘭連接。匯氣管工作介質為油、氣、水三者混合物(含CO2),設計壓力為10MPa,設計溫度為80℃。因介質中含CO2,根據工程設計經驗[23取腐蝕裕量C2=3mm。由于該匯氣管長徑比較大(18600/400=46.5),不能像普通臥式容器一樣使用兩個對稱布置的鞍座[3],故設備不帶鞍座,現場安裝在特制的基座之上。
2 設計計算
??? 匯氣管的主管根據其直徑的大小,可以采用無縫鋼管或鋼板卷制成筒節組焊而成,該設計中主管為無縫鋼管,材質為16Mn,因此,其焊接接頭系數取φ=1。由于匯氣管開口是采用模壓成型。因此匯氣管的筒體壁厚應由內壓下的直管計算壁厚與開口補強計算所需的壁厚兩部分組成,其計算公式應按ASME B31.8[4]或GB 50251《輸氣管道工程設計規范》[5]規定執行。另外,部分參數可參照SY/T 0518—2002《油氣管道鋼制對焊管件設計規程》[6]以及SY/T 0609—2006《優質鋼制對焊管件規范》[7]確定。
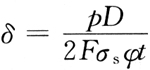
2.1 計算厚度
??? 根據GB 50251—2003《輸氣管道工程設計規范》該拔制高壓匯氣管直管段計算壁厚按公式(1)計算:
??? 
式中:δ為鋼管計算壁厚,mm;p為設計壓力,MPa;D為鋼管外徑,mm;σs為鋼管的最小屈服強度,MPa;F為強度設計系數,按參考文獻[5]中的表4.2.3選取;φ為焊縫系數;t為溫度折減系數,溫度小于120℃時取1。
??? 經過單位換算后,式(1)與文獻參考[4]中的直管段計算公式一致。當溫度小于120℃、設計壓力不大于10MPa時,式(1)可簡化為參考文獻[6]中的計算公式(8.2.3)。匯氣管安裝的地區等級為三級地區,強度設計系數取F=0.5,該值與工藝專業所選取的強度設計系數一致。
??? 從式(1)可以看出,高壓拔制匯氣管采用的強度計算公式與GB150規定的普通壓力容器強度計算公式(SW6采用的計算公式)存在差異。主要體現在以下3個方面:
??? 1) 材質16Mn在溫度為80℃,壁厚大于16mm時的屈服強度σs=310MPa,故Fσs=155MPa,與16Mn在該溫度下的許用應力[σ]t(163MPa)并不是同一個值。
??? 2) 一般情況下,在進行拔制高壓匯氣管設計時,為了限制管壁厚度,給拔制工藝降低難度,都會在圖樣上注明“匯氣管筒體等的下料尺寸由制造廠決定,但最終成品尺寸應滿足圖面要求,拔制成形后,主支管壁厚不得小于圖紙所標注厚度”,此時,鋼材的厚度負偏差可以取C1=0。然而,在使用軟件SW6進行筒體強度計算時,雖然鋼板的厚度負偏差可以指定為0,但對無縫鋼管的厚度負偏差,SW6自動取為管子壁厚的12.5%,即C1=12.5δn%,并沒有指定為0的功能。因此,用壓力容器強度計算軟件SW6進行拔制高壓匯氣管的計算顯然是不合適的。
??? 3) 在該設計實例中,用式(1)計算出主管的計算厚度δr=13.74mm,而在相同條件下使用SW6計算出主管的計算厚度δr=11.71mm,由此可見,前者的計算厚度比后者的計算厚度大,安全系數更高。使用SW6進行其直管段壁厚的計算存在一定的弊端。支管計算厚度δb的計算也存在同樣的問題。
??? 因此,不宜使用SW6進行拔制高壓匯氣管直管段的強度校核。
2.2 支管拔制與開孔補強
??? 因為該匯氣管的設計壓力為10MPa,在SY/T 0518—2002《油氣管道鋼制對焊管件設計規程》使用范圍內,支管拔制與開孔補強可遵循本規范進行相關參數的確定。
2.2.1 支管最大拔出壁厚與名義壁厚(δnb)
??? 設主管的名義厚度為δnr,支管名義厚度δnb。考慮到拔制工藝,能拔出支管的最大壁厚為0.758δnr。根據強度計算公式,計算出支管的計算厚度,加上腐蝕裕量后得到支管滿足強度要求的最小厚度,向上圓整取其名義厚度δ′nb。綜上,支管名義厚度應在δ′nb與0.75δnr,之間取值。可以使用假設方法,取該范圍內的某個厚度值進行計算,直到支管的名義厚度滿足強度和開孔補強兩方面的要求,最后定為δnb。這樣,在有效補強區內,支管壁厚不得小于δnb,而在有效補強區范圍之外,支管壁厚只需取δ′nb即可。
2.2.2 圓弧過渡區曲率半徑(R)
??? 設do為支管外徑,參考文獻[6]中規定了圓弧過渡區的曲率半徑最小值為R=0.5do,最大值為R=0.10do+13mm。這與參考文獻[1]、[4]中關于圓弧過渡區的曲率半徑最大最小值的規定并不矛盾,故設計過程中遵循該規定。
2.2.3 支管拔出高度(Ho)
??? 匯氣管開口的拔出高度必須大于圓弧過渡區的曲率半徑值與接管端部焊接坡口所需的高度之和,其中接管端部焊接坡口所需的高度h=(δnb=1.6)×tg37.5°。另外,由于制造工藝水平不同,不同的制造商對同樣規格的主管上開同樣直徑的孔,其開口接管拔出高度也不盡相同。根據對某制造廠拔制工藝水平的咨詢,其拔制工藝為加熱一次拔一次,加熱和拔制的次數不超過三次,總共能拔出的高度一般不超過60mm。
2.2.4 有效補強高度(H)
??? 有效補強高度為:

。δ
o是翻邊處去除腐蝕裕量后的支管壁厚,在距離主管外徑面高度等于r
o處測量,其為一個實測值,由制造廠的實際拔制工藝情況決定,是制造完成后才能測量到的值,在設計過程中是不得而知的。因此,在設計計算時一般采用安全的算法,用支管直管段的有效厚度δ
eb代替δ
o進行計算。
2.2.5 支管短節長度(L)
??? 當匯氣管能拔出的最大高度小于有效補強高度時,需要加一支管短節,支管短節的高度
L應不小于有效補強高度,且不小于150mm[7]。短節材料與母管材料相同,為16Mn;短節壁厚與拔出支管管端壁厚相同。