3 螺栓材質分析3.1 化學成分
??? 在螺栓斷口附近取樣,用Baird Spectrovac2000型直讀光譜儀和LECO CS-444型紅外碳硫分析儀進行化學成分檢測,結果表明螺栓化學成分符合SA 193—2007標準[8]要求。
3.2 力學性能
??? 從斷裂螺栓同批中隨機選取3根完好螺栓,沿縱向取標距段直徑為6.25mm的圓棒拉伸試樣在室溫條件下進行拉伸試驗,對斷裂螺栓橫截面進行硬度檢測。數據顯示螺栓拉伸和硬度試驗結果均符合SA 193—2007標準要求。
3.3 金相組織
??? 截取包含斷口和螺紋根部的試樣進行金相觀察和分析,結果如下:組織為回火索氏體,組織晶粒度為9.5級,非金屬夾雜物為A1.0、B0.5、D0.5;4#、5#、6#、7#螺栓斷口附近螺紋根部有裂紋。
4 本案例綜合分析
??? 螺栓化學成分、硬度和拉伸試驗結果均符合SA 193—2007標準要求,金相分析顯示螺栓材料組織良好;宏觀分析顯示4#、5#、6#、7#螺栓斷口附近螺紋根部均有裂紋,而1#、2#、3#、8#螺栓則均未產生裂紋;4#、5#、6#、7#螺栓斷口平坦區可見疲勞痕跡,而1#、2#、3#、8#螺栓斷口為韌窩狀斷口微觀形貌。因此,推斷4#、5#、6#、7#螺栓的斷裂屬于疲勞斷裂,14、2#、3#、8#螺栓的斷裂屬于過載斷裂。
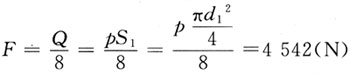
??? 下面不考慮閥蓋等零部件重量的影響,對螺栓進行受力分析。假定每根螺栓受力相同,則由于管線氣體壓力的作用使每根螺栓受到的拉伸力為:
?

式中Q為管線氣體壓力對閥瓣的頂驅力,N;p為管線內氣體壓力,取p=5.75MPa;S1為氣體作用在閥瓣上的面積,mm2;d1為氣體作用在閥瓣上的面積圓外徑,測量d1=89.7mm。
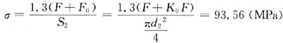
??? 參考《機械設計基礎》[9],當螺栓受到殘余鎖緊力和管線氣體壓力的共同作用后的每根螺栓螺紋小徑截面上的應力為:
?

式中F0為螺栓殘余鎖緊力,F0=K0F,N;K0為殘余鎖緊系數,《機械設計基礎》建議K0為1.5~1.8,取K0=1.8;S2為螺栓螺紋小徑處橫截面積,mm2;d2為螺栓螺紋小徑,取d2=mm。
??? 而螺栓材料的最大許用應力[σ]=172MPa,所以螺栓在正常預緊力和管線正常壓力作用下受到的應力載荷不會超過材料的許用應力。
??? 根據現場情況,螺栓發生斷裂時氣體壓力處于正常水平,而8根斷裂螺栓光桿處測量結果顯示8根螺栓均發生了頸縮塑性變形,并且1#、2#、3#、8#螺栓頸縮變形較大,4#、5#、6#、7#螺栓頸縮變形較小。由于4#、5#、6#、7#螺栓的斷裂屬于疲勞斷裂,所以可推斷這些螺栓在初始預緊過程中受到了過大的擰緊作用產生了塑性變形。由于塑性變形螺栓會伸長,這樣螺栓便發生了松動,在對閥蓋螺栓光孔長時間的摩擦中就會產生月牙形磨損。當4#、5#、6#、7#螺栓疲勞擴展到一定程度或斷裂時,1#、2#、3#、8#螺栓受力過載發生全部斷裂。由于1#、2#、3#、8#螺栓集中位于受力圓一側,當4#、5#、6#、7#螺栓斷裂時整體受力不平衡,1#、2#、3#、8#螺栓塑性過載斷裂的同時受到彎矩的作用發生彎曲變形,同時對閥蓋光孔側向擠壓導致其發生橢圓變形。
??? 過高的初始螺栓應力容易使螺栓本身產生屈服,它尤其發生在小直徑螺栓以及螺栓材料屈服強度較低的情況。當采用標準扳手時,由手工擰緊所產生的螺栓應力大致為
?

其中d為螺栓公稱直徑,取測量值d=17.40mm。
??? 所以,除非能正確判斷施加在扳手上的推力,否則較小的螺栓上會產生過高的應力。7#螺栓伸出螺母端面比伸出量最小的28螺栓大4mm,說明8根螺栓的預緊力矩不均勻。
??? 由于管線內氣體壓力的波動會使螺栓承受交變應力載荷,而螺紋根部存在應力集中,過大的擰緊力矩會加劇螺栓螺紋根部的應力集中。將螺母從螺栓上切除后發現螺栓與螺母嚙合的螺紋部位布滿鐵銹,而且檢測發現螺栓斷口及螺紋根部均受到不同程度的氧腐蝕。在過高應力及腐蝕的作用下螺栓螺紋根部很容易產生裂紋。
??? 綜合以上分析推斷4#、5#、6#、7#螺栓在過高的交變應力和腐蝕作用下產生了疲勞裂紋,在疲勞裂紋擴展到一定程度時,螺栓因受力過載發生全部斷裂。結論為:
??? 1) 1#、2#、3#、8#螺栓的斷裂屬于過載斷裂,4#、5#、6#、7#螺栓的斷裂屬于疲勞斷裂。
??? 2) 4#、5#、6#、7#螺栓預緊力矩過大導致頸縮變形及螺紋根部大的應力集中,另外螺紋部位嚴重的氧腐蝕促進了螺紋根部疲勞裂紋的萌生及擴展。
5 解決措施及效果
??? 1) 使用合適的預緊力對螺栓進行預緊,現場最好采用能控制力矩大小的擰緊機進行擰緊作業。
??? 2) 增大螺栓直徑,降低螺栓工作時的應力水平。
??? 3) 螺栓螺紋部位涂抹油脂防止受到外部環境的腐蝕。
??? 4) 定期檢查,發現失效或可疑跡象立即更換。
??? 5) 通過整改,將螺栓公稱直徑增大到25.4mm,對螺栓涂抹防銹油脂并按控制扭矩的方法進行擰緊,15支安全閥服役3a再未發生失效事故,隨機選取一支安全閥對拆卸后的螺栓進行檢測也未發現裂紋。
參考文獻
[1] 李瑜,鐘謹瑞,張運生,等.國內外井口安全系統的現狀及基本做法[J].天然氣工業,2008,28(1):140-142.
[2] 何英勇,葛華,賈靜,等.天然氣集輸井站安全系統設置[J].天然氣工業,2008,28(10):105-106.
[3] 王玉玲,王俊.30CrMnSiA螺栓失效分析[J].機械工程材料,2008,32(5):71-73.
[4] 高敏花.雙頭螺栓斷裂失效分析[J].金屬熱處理,2008,33(4):99-101.
[5] 馬小明,侯偉峰.法蘭連接螺栓斷裂失效分析[J].材料與焊接,2007,28(5):56-58.
[6] LEE H C,CHOI J,I.EE B,et al.Failure analysis of stress corrosion cracking in aircraft bolts[J].Engineering Failure Analysis,2007,14(1):209-217.
[7] 何家勝,崔好選,朱曉明,等.軸向應力對35CrMoA螺栓濕H2S應力腐蝕斷裂的影響[J].腐蝕與防護,2007,28(11):559-561.
[8] ASME鍋爐及壓力容器委員會材料分委員會.高溫用合金鋼和不銹鋼螺栓材料[S].北京:中國石化出版社,2007.
[9] 盧玉民.機械設計基礎[M].北京:高等教育出版社,1998.