電廠煙氣脫硫廢水零排放是行業的熱點和難點問題。本文通過脫硫廢水水質特性分析,集成預處理、深度處理、預濃縮和蒸發結晶模塊建立了脫硫廢水零排放工藝,并進行了每天25m3的中試試驗。
結果表明:該工藝各模塊可優勢互補,高效穩定運行,實現脫硫廢水零排放;由預沉池和序批式反應器構成的預處理模塊通過投加石灰、氫氧化鈉、碳酸鈉和絮凝劑,實現了懸浮物、硬度、有機物和重金屬的同步去除,懸浮物、Ca2+、Mg2+和有機物去除率分別達到97.3%、38.1%、98.5%和74.3%;
深度處理模塊包括過濾器、超濾(微濾)和納濾單元,能夠高效截留二價離子和有機物,納濾單元出水Ca2+、Mg2+和硫酸鹽質量濃度分別為5.2、0.4、84.3mg/L,降低了膜結垢風險,并保證了工業鹽品質;經電滲析單元、離子交換單元與蒸發結晶后,所得工業鹽純度達到《工業鹽國家標準》(GB5462—2015)中二級工業濕鹽的要求。
目前,燃煤電廠提供全球電力的41.3%,而我國2017年煤電裝機總量約為10.2億kW,占發電裝機總量的58%。由于絕大多數的SO2排放來源于燃煤鍋爐,因此燃煤發電廠必須配備SO2脫除裝置。
在各種煙氣脫硫技術中,石灰/石灰石-石膏法因其脫硫效率高、可靠性高、適應性強和成本低等優點而被廣泛應用。
考慮到設備防腐和石膏質量的需求,應定期從脫硫系統排出一定量的廢水,以保證氯化物和重金屬濃度低于設計水平。排出的脫硫廢水普遍具有pH值低,懸浮性固體(SS)、氯化物、硬度離子濃度高,且含有多種重金屬的特點。
由于脫硫廢水中大部分污染物為國家環保標準中要求嚴格控制的污染物,直接外排會產生新的污染,且脫硫廢水硬度高,毒性、腐蝕性和結垢性強,廢水排放也會影響設備的正常運行。
2015年出臺的《水污染防治行動計劃》明確對電廠廢水處理提出零排放要求,其中,作為全廠廢水梯級利用的終點,煙氣脫硫廢水資源化利用是實現零排放的關鍵環節。
由中和、絮凝、沉淀和澄清單元組成的傳統脫硫廢水處理系統存在處理效率低、調控難度高、無法去除氯離子等問題,難以達到當前零排放的要求。
目前,公開報道的脫硫廢水零排放工程主要有廣東河源電廠、佛山三水恒益火力發電廠和浙江浙能長興發電有限公司,分別采用以多效蒸發、機械蒸汽再壓縮蒸發和正滲透技術為核心的處理工藝。
然而,運行穩定性和經濟性是現有脫硫廢水零排放系統面臨的難題,已有報道也缺乏長期運行數據的支撐。
本文將針對脫硫廢水特性以及環保需求,開發運行穩定、效果良好的廢水零排放工藝技術,并通過中試試驗長期運行數據驗證其穩定性,為脫硫廢水零排放提供工藝路線借鑒和技術支撐。
1脫硫廢水水質特性
中試試驗用脫硫廢水取自華能國際電力股份有限公司江蘇南通發電廠煙氣脫硫系統廢水旋流器出水,水質數據見表1。
表1江蘇南通發電廠脫硫廢水水質數據

由表1可知:脫硫廢水水質特點為懸浮物含量高且顆粒粒徑小,主要成分為灰分、惰性物質、絮凝沉淀物等;硬度高易結垢,水中Ca2+、Mg2+、SO42-質量濃度高,處于過飽和狀態;鹽分及氯離子濃度高,pH值較低,呈弱酸性,對設備、管道有腐蝕性;含Cr、Hg、Cd、Zn等重金屬以及少量有機物,組分變化大,水質復雜。
2脫硫廢水零排放系統
2.1工藝流程
圖1為脫硫廢水零排放工藝流程示意。

圖1 脫硫廢水零排放工藝流程示意
該工藝流程可劃分為四大模塊:
1)預處理模塊包括預沉淀池、序批式反應器(反應器)、多介質過濾器和中和池;
2)深度處理模塊包括過濾器、超濾(微濾)和納濾單元;
3)預濃縮模塊包括電滲析、反滲透(也可采用正滲透或高壓反滲透)、離子交換單元;4)蒸發結晶模塊。在四大模塊中,預處理模塊是后續運行的重要保障,也是固體物質和硬度集中排放的子系統,對其進行優化設計是脫硫廢水零排放系統穩定運行的關鍵。
脫硫廢水零排放技術預處理模塊工作內容為:
脫硫廢水首先經過水泵進入預沉池,通過投加石灰和聚丙烯酰胺(PAM)加速懸浮物沉降,降低出水濁度;預沉池出水進入反應器,同步投加NaOH和Na2CO3,控制pH值大于11,以保證Ca2+和Mg2+的高效去除;以Mg(OH)2和CaCO3為主要成分的沉淀物在反應器沉淀區底部濃縮外排,上清液進入中和池,投加HCl中和至弱酸性,以控制有機物和Ca2+在納濾膜表面沉積,減緩膜污染。
深度處理模塊工作內容為:中和池出水經雙介質過濾器去除懸浮物后,進入納濾單元去除二價離子和有機物;納濾單元濃水排放至預沉池,淡水進入電滲析單元。
預濃縮模塊工作內容為:電滲析單元濃水進入離子交換單元,將水中殘留的Ca2+、Mg2+和SO42-置換為Na+和Cl-,為提高最終產品工業鹽的純度而控制最理想的NaCl濃度,滿足后續蒸發結晶或資源化的要求并降低運行成本。電滲析淡水經過反滲透進一步提純后可作為脫硫廢水零排放系統工藝水使用,也可作為脫硫塔補水。
2.2示范工程技術參數
通過工藝技術耦合集成優化,在華能國際電力股份有限公司南通電廠構建了每天處理水量25m3的脫硫廢水零排放處理工藝中試試驗示范工程。
該中試試驗建于2015年6月,8月調試運行,于10月至次年4月連續穩定運行。在連續穩定運行階段,對脫硫廢水零排放系統進出水水質進行了32天連續監測,并對最終產品—工業鹽進行了分析。脫硫廢水零排放示范工程各單元主要技術參數見表2。
表2?脫硫廢水零排放示范工程各單元主要技術參數

3脫硫廢水零排放出水水質特性
3.1各單元出水水質分析
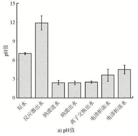
圖2為脫硫廢水零排放工藝各單元出水pH值和濁度變化情況。


圖2脫硫廢水零排放工藝各單元出水pH值和濁度
由圖2a)可知:預沉池和反應器出水pH值分別為7.0±0.1和11.9±1.1;本研究為了保證中試試驗系統運行穩定性,在中和池加入鹽酸控制納濾進水偏酸性,納濾單元進出水以及離子交換單元pH值無顯著變化,實際工程中,納濾單元進水pH值宜根據實際運行情況和納濾膜廠家要求進行調整,以降低運行成本;電滲析單元濃淡水pH值分別上升為3.6±1.0和4.5±0.7,這是由于電滲析單元陰膜表面極化,造成水離解成H+和OH-,H+穿透膜進入濃水室,故淡水pH值高于濃水。
由圖2b)可知:預沉池出水濁度為(9.2±0.8)NTU;由于反應器中存在CaCO3和Mg(OH)2,部分懸浮物與沉淀物凝聚沉降,濁度進一步降低,雖然反應器出水含有少量Mg(OH)2膠體,造成濁度波動,但濁度總體穩定在(1.6±1.9)NTU,去除率為82.6%;納濾單元進水和出水濁度分別為(0.6±0.2)、(0.2±0.1)NTU,去除率為66.7%,納濾單元進水濁度波動較大,而出水濁度穩定,可見納濾膜起到了重要的截留作用;離子交換單元出水濁度為(0.3±0.1)NTU,符合電滲析單元的進水要求(≤0.3NTU)。
污水處理過程中溶解氧的控制問題匯總
論污水的化學處理之化學混凝法
超低排放改造與脫硫廢水處理的優化探討
淺析化工廢水特點及廢水處理原則、特征
三種常見的高鹽廢水處理方式
城市黑臭水體治理技術體系研究
化工污水處理過程中的危險因素分析
關于污泥性狀異常及簡單分析結果
UASB厭氧處理工藝
污水處理系統應急預案
農村生活污水處理
燃煤電廠脫硫廢水零排放預處理工藝選…
煤化工廢水處理技術研究
SBR法處理煤化工廢水中石油烴類的試…
發電廠節水及廢水綜合利用改造實例
工業園區污水處理工藝選擇