第八章 主要附件和儀表
???????? 第一節安全閥
???????? 第九十八條額定熱功率大于1.4MW的鍋爐,至少應裝設兩個安全閥。額定熱功率小于或等于1.4MW的鍋爐至少應裝設一個安全閥。
???????? 鍋爐上設有水封安全裝置時,可不裝安全閥。水封裝置的水封管內徑不應小于25mm,且不得裝設閥門,同時應有防凍措施。
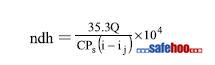
???????? 第九十九條安全閥的泄放能力應滿足所有安全閥開啟后鍋爐內壓力不超過設計壓力的1.1倍。對于額定出口熱水溫度低于100℃的鍋爐,當額定熱功率小于或等于1.4MW時,安全閥流道直徑不應小于20mm;當額定熱功率大于1.4MW時,安全閥流道直徑不應小于32mm。對于額定出口熱水溫度高于或等于100℃的鍋爐,裝在鍋爐上的安全閥的數量及流道直徑可參照下式計算:
?
式中:n-安全閥個數;
d-安全閥流道直徑,cm;
h-安全閥開啟高度,cm;
Q-鍋爐額定熱功率,MW;
C-排量系數,采用安全閥制造廠提供的可靠數據,或按下列數值選用;
Ps-安全閥的始啟壓力(絕對壓力),MPa;
i-鍋爐額定出水壓力下的飽和蒸汽焓,kj/kg。
ij-進入鍋爐的水焓,kj/kg。
???????? 第一百條安全閥須鉛直地安裝,并盡可能裝在鍋筒、集箱的最高位置。在安全閥和鍋筒之間或安全閥和集箱之間,不得裝有取用熱水的出水管和閥門。
???????? 第一○一條若幾個安全閥共同裝置在一個與鍋筒直接相連接的短管上,則短管的通路截面積不應小于所有安全閥排放面積的1.25倍。
???????? 第一○二條安全閥上必須有下列裝置:
???????? (1)杠桿式安全閥要有防止重錘自行移動的裝置和限制杠桿越出的導架;
???????? (2)彈簧式安全閥要有提升手把和防止隨便擰動調整螺釘的裝置。
???????? 第一○三條安全閥應裝設泄放管,在泄放管上不允許裝設閥門。泄放管應直通安全地點,并有足夠的截面積和防凍措施,保證排泄暢通。
???????? 第一○四條鍋爐在運行中,安全閥應定期進行手動排放試驗。鍋爐停用后又啟用時,安全閥也應進行手動排放試驗。
???????? 第一○五條鍋爐上的安全閥應按制造廠的要求或按表8-1規定的壓力每年至少進行一次整定和校驗。安全閥經檢修或更換后,也應按上述要求和規定進行整定。
???????? 安全閥經過校驗后,應加鎖或鉛封。嚴禁用加重物、移動重錘、將閥芯卡死等手段任意提高安全閥始啟壓力或使安全閥失效。安全閥校驗后,始啟壓力、回座壓力等校驗結果應記錄并歸入檔案。
表8-1
?
安全閥的始啟壓力 |
1.21倍工作壓力但不小于工作壓力+0.07MPa |
1.14倍工作壓力但不小于工作壓力+0.10MPa |
注:①鍋爐上必須有一個安全閽按表中較低的始啟
壓力進行整定。
②這里的工作壓力是指與安全閥直接連接部件
的工作壓力。
???????? 第一○六條安全閥出廠時,應有金屬銘牌,載明下列各項:
???????? (1)安全閥型號;
???????? (2)制造編號;
???????? (3)制造廠名和制造年月;
???????? (4)開啟高度(mm);
???????? (5)公稱通徑和流道直徑(mm);
???????? (6)公稱壓力(MPa);
???????? (7)排量系數。
???????? 安全閥的排量系數,應由安全閥制造單位通過實驗確定。
???????? 第二節壓力表
???????? 第一○七條每臺鍋爐的進水閥出口和出水閥入口都應裝一個壓力表。循環水泵的進水管和出水管上,也應裝壓力表。
???????? 第一○八條選用壓力表應符合下列規定:
???????? (1)壓力表精確度不應低于2.5級;
???????? (2)壓力表應根據工作壓力選用。壓力表表盤刻度極限值應為工作壓力的1.5~3倍,最好選用2倍。
???????? (3)壓力表表盤大小應保證司爐工人能清楚地看到壓力指示值,表盤公稱直徑不應小于100mm。
???????? 第一○九條壓力表的裝設、校驗和維護應符合國家計量部門的規定。壓力表裝用前應進行校驗,并在刻度盤上劃紅線指出工作壓力。壓力表裝用后每年至少校驗一次。壓力表校驗后應封印。
???????? 第一一○條壓力表裝設應符合下列要求:
???????? (1)應裝設在便于觀察和沖洗的位置,并應防止受到高溫、冰凍和震動的影響。
???????? (2)應有緩沖彎管。彎管用鋼管時,其內徑不應小于10mm。
???????? 壓力表和彎管之間應裝有三通旋塞,以便沖洗管路,卸換壓力表等。
???????? 第一一一條壓力表有下列情況之一時,應停止使用:
???????? (1)有限止釘的壓力表在無壓力時,指針轉動后不能回到限止釘處;沒有限止釘的壓力表在無壓力時,指針離零位的數值超過壓力表規定允許誤差;
???????? (2)表面玻璃破碎或表盤刻度模糊不清;
???????? (3)封印損壞或超過校驗有效期限;
???????? (4)表內泄漏或指針跳動;
???????? (5)其它影響壓力表準確指示的缺陷。
???????? 第三節測量溫度的儀表
???????? 第一一二條在鍋爐的進、出水口均應裝設測量溫度的儀表。儀表應正確反映介質溫度,并應便于觀察。
???????? 對于額定熱功率大于或等于14MW的鍋爐,安裝在鍋爐出水口的測量溫度儀表應是記錄式的。
???????? 在燃油鍋爐中還應裝設用以測量燃油溫度和空氣預熱器煙氣出口煙溫的測量溫度儀表。
???????? 第一一三條有表盤的測量溫度儀表的量程應為正常溫度的1.5~2倍。
???????? 第一一四條測量溫度儀表的校驗和維護應符合國家計量部門的規定。裝用后每年至少應校驗一次。
???????? 第四節排污及放水裝置
???????? 第一一五條鍋筒及每個回路下集箱的最低處都應裝排污閥或放水閥。排污閥或放水閥宜采用閘閥或直流式截止閥。閥的公稱通徑為20~65mm。臥式鍋殼鍋爐鍋筒上的排污閥公稱通徑不得小于40mm。
???????? 第一一六條額定出口熱水溫度高于或等于120℃的鍋爐的排污管上應裝兩個串聯的排污閥。
???????? 鍋爐的排污閥(或放水閥)、排污管(或放水管)不允許用螺紋連接。排污管口不應高出鍋筒或集箱的內壁表面。
???????? 第一一七條每臺鍋爐應裝獨立的排污或放水管,排污或放水管應盡量減少彎頭,保證排污及放水暢通并接到安全的地點。
???????? 幾臺鍋爐排污合用一根總排污管時,不應有兩臺或兩臺以上的鍋爐同時排污。
???????? 第五節保護裝置
???????? 第一一八條額定出口熱水溫度高于或等于120℃的鍋爐以及額定出口熱水溫度低于120℃但額定熱功率大于或等于4.2MW的鍋爐,應裝設超溫報警裝置。
???????? 第一一九條用煤粉、油或氣體作燃料的鍋爐,應裝有下列功能的聯鎖裝置:
???????? (1)引風機斷電時,自動切斷全部送風和燃料供應;
???????? (2)全部送風機斷電時,自動切斷全部燃料供應;
???????? (3)燃油、燃氣壓力低于規定值時,自動切斷燃油或燃氣的供應;
???????? (4)鍋爐壓力降低到會發生汽化或水溫升高超過了規定值時,自動切斷燃料供應;
???????? (5)循環水泵突然停止運轉時,自動切斷燃料供應。
???????? 第一二○條用煤粉、油或氣體作燃料的鍋爐,應裝設熄火保護裝置,并盡量裝設點火程序控制裝置。
???????? 第一二一條層燃鍋爐宜設有當鍋爐的壓力降低到會發生汽化或水溫升高超過了規定值以及循環水泵突然停止運轉時,自動切斷鼓、引風的裝置。
???????? 第一二二條對于正壓燃燒的鍋爐,爐墻、煙道和各部位門孔,必須可靠地密封,看火孔必須裝設防止火焰噴出的裝置。
???????? 第一二三條幾臺鍋爐共用一個總煙道時,在每臺鍋爐的支煙道內應裝設供檢修時隔斷用的嚴密的煙道擋板。擋板應有可靠的固定裝置,以保證鍋爐運行時,擋板處在全開啟位置,不能自行關閉。
???????? 第六節鍋爐的管道和附件
???????? 第一二四條閥門應裝設在便于操作的地點。
???????? 管道的截止閥門和調節閥門上應有明顯的標記,指示水流動的方向和閥門的開關方向。
???????? 第一二五條每臺鍋爐(包括與熱水總管相連的鍋爐)出水管上應裝截止閥或閘閥。
???????? 鍋爐給水、補給水管上應裝設截止閥和止回閥。
???????? 第一二六條鍋爐的出水管一般應設在鍋爐最高處。在出水閥前出水管的最高處應裝設集氣裝置。
???????? 每一個回路的最高處以及鍋筒最高處或出水管上都應裝設公稱通徑不小于20mm的排氣閥。每臺鍋爐各回路最高處的排氣管宜采用集中排列方式。
???????? 在強制循環鍋爐的鍋筒最高處或出水管上應裝設內徑不小于25mm的泄放管,管子上應裝泄放閥。裝設泄放閥的鍋爐,鍋筒或出水管上可不裝設排氣閥。