前言
工業企業鐵路道口是鐵路和道路行車安全的薄弱環節,道口的存在對車輛和行人的安全構成潛在的威脅,其重要性愈來愈明顯。因此,道口安全管理的好壞,道口安全設施配備的完善程度,對防止道口事故,提高道口的安全度,具有重要的作用。
本標準在GB-6389-86《工業企業鐵路道口安全標準》的基礎上,增補了“范圍”、“引用標準”、“定義”三章,將道口分級作為單獨一章提出,取消了特殊類型道口,從而將所有道口分為四級。在道口信號設備方面,取消了道口防護信號機,而以遮斷信號機取而代之。在道口標志方面,以道口路段中央分隔帶護欄和隔離墩分別取代道口路段中央分隔帶和交通分隔標,在各級道口增設了限制速度標志和解除限制速度標志。
此外,在標準的編排上,為了保證標準內容結構緊湊,將列車接近通知時間及接近區段長度的計算以附錄B的形式放在標準正文之后。
本標準從生效之日起,同時代替6389-86。
本標準的附錄A和附錄B都是標準的附錄。
本標準由中華人民共和國勞動部提出。
本標準起草單位:冶金工業部安全環保研究院。
本標準主要起草人:魯順清、楊櫻、鄧耀星、李列平。
本標準于1986年首次發布。
1 范圍
本標準規定了工業企業鐵路道口的分級、道口的設置、道口安全設施的配備和看守、道口信號和標志等。
本標準適用于工業企業標準軌距鐵路道口,不適用于礦山、林區、國家鐵路、地方鐵路的鐵路道口。
2 引用標準
下列標準所包含的條文,通過在本標準中引用而構成為本標準的條文。本標準出版時,所示版本均為有效。所有標準都會被修訂,使用本標準的各方應探討使用下列標準最新版本的可能性。
GB10494-89 鐵路區間道口信號設備技術條件
GBJ12-87 工業企業標準軌距鐵路設計規范
GBJ22-87 廠礦道路設計規范
CJJ37-90 城市道路設計規范
JTJ01-88 公路工程技術標準
3 定義
本標準采用下列定義。
3.1 鐵路道口 railway level crossing
鐵路上鋪面寬度在2.5m及以上,直接與道路貫通的平面交叉。按看守情況分為有人看守道口和無人看守道口。[GB10494-89中3.1]。
3.2 廠內道口 factory-in railway level crossing
工業企業鐵路與廠內道路平面交叉的鐵路道口。
3.3 廠外道口 factory-out railway level crossing
工業企業鐵路與廠外道路平面交叉的鐵路道口。
4 道口分級
4.1 道口分為四級。二、三、四級道口視安全上的實際需要可以升級,但不得降級。
4.2 具有下列條件之一者為一級道口:
——晝間12h內,道口交通量在18000輛次及以上者;
——晝間12h內,道口交通量在6000~18000輛次,了望條件不良者。
4.3 具有下列條件之一者為二級道口:
——晝間12h內,道口交通量為6000~18000輛次,了望條件良好者;
——晝間12h內,道口交通量在2000~6000輛次,了望條件不良者;
——有通勤汽車或公共汽車通過者;
——運載高溫金屬熔液、鑄錠等特種貨物車輛通過的道口。
4.4 道口交通量低于4.3的規定,并且具有下列條件之一者為三級道口:
——近五年內發生過重大事故或重復發生過事故的道口;
——了望條件達不到6.2中5m停車側向視距要求的道口。
4.5 四級道口為一、二、三級以外的道口。
注:
1 道口交通量指通過道口的鐵路量與道路交通量之乘積,單位為輛次。
2 鐵路交通量指列車(包括單機、軌道車以及調車作業等)通過道口的次數。晝間12h內鐵路交通量等于零者以1計算。
3 道路交通量指通過道口的標準汽車輛數。各種車輛及等候按附錄A(標準的附錄)的換算系數K換算為標準汽車的輛數。
4 晝間12h指常白班上班前1h算起的時間間隔。
5 新建、改建道口的交通量不易查定時,可根據設計鐵路和道路交通量等主要因素確定其等級。
6 了望條件不良指機動車駕駛員對道口的側向視距或機車車輛調乘人員對道口的視距達不到6.1的規定。
5 基本要求
5.1 道口應按本標準的規定分級。
5.2 各級道口應按本標準的規定配備安全設施,并保持完好有效。
5.3 道口及其附近道路的平、縱斷面應符合GBJ22的有關規定。
5.4 在新建、改建道口設計及施工時,道口安全設施必須同時設計、同時施工,確認道口符合本標準要求后,方可開通使用。
5.5 在鐵路線路上,增設或拆除道口,必須取得企業鐵路運輸部門的同意。
5.6 企業安全部門和鐵路運輸部門應對現有道口進行檢查、鑒定,凡不符合本標準要求,應限期改造或拆除。
5.7 工業企業鐵路與城市道路及公路平面交叉的鐵路道口,應遵守CJJ37、JTJ01和GBJ12的有關規定。
6 道口設置
6.1 道口的視距應符合下列要求:
a)廠內道口,應根據列車限速,使機動車駕駛員距道口交叉點20m外,能看見表1所規定的側向視距以外的機車車輛;
b)廠外道口,應根據列車限速,使機動車駕駛員距道口交叉點50m外,能看見表1所規定的側向視距以外的機車車輛;
c)機車車輛調乘人員能看見道口的距離,不得小于表1所列機車車輛調乘人員對道口的視距。
表1 道口視距

6.2 因受地形等條件限制,機動車駕駛員在道口外距最外股鋼軌外側5m處停車,應能分別看到表1所規定的側向視距以外的機車車輛。當不符合要求時,道口應設人看守或道口自動信號。
6.3 道口不宜設在道岔區或站場范圍內以及調車作業繁忙的鐵路線路上。嚴禁設在道岔尖軌處。
6.4 道口鋪面應保持平整耐用,并選用堅固、耐用、平整、穩定且易于翻修的鋪砌層。道口的鋪設不符合本標準規定者,應限期整修、改造。
6.5 廠內、廠外道口的鋪面寬度一般與相交道路的路基面同寬。設有人行道的道路,道口的鋪面寬度應包括人行道的寬度,道路拓寬時,道口鋪面應同時拓寬。
廠內、廠外道口的鋪面長度應延至鋼軌外側0.5~2.0m。
6.6 道口的鐵路線路應設置護軌,軌跡可采用舊軌。輪緣槽寬度直線上為70~100mm;曲線內股應為90~100mm;輪緣槽深度不小于45mm。護軌兩端應做成喇叭口,距護軌端300mm處彎向線路中心,護軌的終端距鋼軌不小于150mm。
7 道口安全設施的配備和看守
7.1 一級道口應有人看守,并配備下列四種類型之一的主要安全設施:
a)道口自動信號、自動欄木、遮斷信號機、通訊設備,有條件時設置障礙物檢測;
b)道口自動信號、電動欄木、通訊設備,根據需要設置遮斷信號機;
c)道口自動通知、道口信號機、電動或人工欄木、通訊設備,根據需要設置遮斷信號機;
d)道口信號機、人工或電動欄木、通訊設備,根據實際需要設置遮斷信號機。
7.2 二級道口應配備下列四種類型之一的主要安全設施,并按規定確定是否設人看守:
a)道口自動信號、自動欄木,無人看守。有條件時設置障礙物檢測;
b)道口自動信號、電動欄木,有人看守。根據需要設置遮斷信號機;
c)道口自動通知、人工或電動欄木,有人看守。根據需要設置遮斷信號機。
d)人工或電動欄木、通訊設備,有人看守。根據需要設置遮斷信號機。
7.3 三級道口應配備下列二種類型之一的主要安全設施,并按規定確定是否設人看守:
a)道口自動信號,無人看守;
b)人工或電動欄木,有人看守,根據實際需要設置通訊設備。
7.4 四級道口無人看守,根據了望條件配備下列二種類型之一的主要安全設施:
a)了望條件良好時,廠內道口應設置慢速了望讓行標志及慢速了望讓行標線;
b)了望條件不良,但能達到6.2中5m停車側向視距要求時,應設置停車了望讓行標志及停止線。
7.5 各級道口安全設施的配備和看守應符合表2的規定。
表2 道口安全設施的配備和看守

7.6 有人看守的道口應建道口房。其位置不宜妨礙看守員了望接近道口的車輛和便于防護道口,并且不影響機動車駕駛員側向視距和機車車輛調乘人員對道口的視距。如果道口較長,管理不便,可在道口兩端各設一個道口房。
道口房內宜配備防護信號用具、鐘表和擴音器等。
7.7 通過電力機車的廠外道口,在道口通路兩面應設限界架,其凈高為4.5m。廠內道口可設限界架,或按9.1.7設置道口限高標志。
8 道口信號設施
8.1 一般規定
8.1.1 道口信號機應設置于道路車輛駛向道口方向的右側,便于機動車駕駛員了望的地點,距最外股鋼軌外側的距離不應小于5m。
道口信號機的型式如圖1所示,月白燈中心距路面高度不低于2.5m。
8.1.2 道口信號機燈光信號的顯示意義及通行規定如下:
a)月白燈穩定亮,表示設備正常,道路開通,準許車輛、行人通過道口;
b)兩個紅燈交替閃光或紅燈穩定亮、且月白燈滅時,表示列車接近道口,禁止道路上的車輛、行人越過該信號機;
c)紅燈和月白燈都熄滅時,系停電或設備發生故障,道口信號失效,這時道路上的車輛、行人應注意了望,確認安全后通過道口。
8.1.3 欄木的長度原則上不應小于道口的寬度,根據道口的寬度等具體情況可采用一對半遮斷式欄木,也可采用一對全遮斷式欄木或兩對半遮斷式欄木。橫跨同一遮斷面的一對半遮斷式欄木落下時,兩頂端之間的距離必須小于0.5m。
8.1.4 全遮斷式欄木,一般設置于道路車輛駛向道口方向的右側;半遮斷式欄木設置于道路車輛駛向道口方向的兩側。欄木距道口最外股鋼軌外側的距離不應小于3m。
8.1.5 欄木應符合下列要求:
a)一般采用輕便、耐用的材料制作,分段組裝的欄木應能調節更換;
b)表面涂以間距為250mm黃、黑相間的45°斜向條紋;
c)在自動欄木上可根據需要裝設不需電源的反光材料,或在帶有標志的欄桿上涂紅色反光漆;
d)自動欄木應能水平擺10°。
8.1.6 欄木的升降可以電動、自動控制或人工操縱。由道口看守員操縱的電動欄木,在升、降過程中,應能隨時停止或改變欄木的動作方向。電動欄木或自動欄木應具備人工操作功能。
8.1.7 采用兩對半遮斷式欄木時,入口端和出口端的半遮斷式欄木,根據道口實際需要可分先后關閉,升桿時兩對半遮斷式欄木應同時升起。
電動欄木落下時間為6~10s。
8.1.8 欄木一般以開放道路為定位,特殊情況下,廠內道口經企業道路有關管理部門批準,可以遮斷道路為定位。
8.1.9 欄木在開放位置時,與路面邊緣的垂直距離應符合道路建筑限界的要求。欄木在落下位置時,應為水平狀態,距路中心的高度為1000~1200mm。
8.1.10 欄柵應符合下列要求:
a)一般采用鋼網結構,高度為1.20~1.50m長度可根據道路寬度確定;
b)欄柵為兩側對開式,橫向滾動,滾動速度宜為1m/s;
c)停電時應能由人工關閉或開放;
d)其他要求可參照欄木的有關規定確定。
8.1.11 設有道口信號的道口,當信號機、欄木及其控制設備發生故障或停電時,有人看守的道口,在列車接近時,道口看守員應使用其他安全設施;無人看守的道口,道口管理部門應采取保證安全的措施,直至道口信號恢復正常狀態。
8.2 手動道口信號
8.2.1 手動道口信號的控制盤、人工欄木的操作桿,應設在便于道口看守員了望與操作的位置。人工欄木的牽引傳動裝置,應不影響道路通行。
道口設有遮斷信號機時,遮斷按鈕應加封。
8.2.2 列車接近道口時,道口看守員應根據企業規定的列車接近道口的距離,首先操縱道口信號機,同時發出音響報警及紅色燈光信號,適時落桿,并監護道口安全。
電動或人工欄木落下后,道口看守員應切斷音響信號。列車尾部通過道口后,道口信號應立即恢復到道路通行狀態。
8.2.3 遮斷信號機應設置與列車駛向道口方向的左側,距道口鋪面邊緣的距離不應小于15m。
8.2.4 遮斷信號機為高柱式,其背板為方形,在機柱上涂以間距為200mm黑、白相間的45°斜向條紋,如圖2所示。該信號機燈滅,不起信號作用;當道口堵塞而有列車接近時,開放遮斷信號機、顯示紅燈,表示不準列車越過該信號機。
8.3 道口自動通知及道口自動信號
8.3.1 道口自動通知供道口看守員使用,室內信號表示盤上的表示燈和音響器應滿足下列條件:
a)每條線路的接近方向各設一盞接近表示燈,平時燈滅,在列車接近及通過道口時相應的接近表示燈亮;
b)列車進入接近區段時,向道口看守員發出連續音響;停電或主要設備發生故障時,向道口看守員發出斷續音響。以上音響經道口看守員確認后,能用自復式按鈕切斷音響;
c)有兩股或兩股以上鐵路的道口,當首次列車接近道口發出通知后,其他股道又有列車接近道口時,應再次發出通知。
8.3.2 在設有自動通知的道口房外,也應裝有對道口看守員發出通知的音響器,其控制條件與室內音響一致。
8.3.3 列車接近及通過道口時,道口自動信號應自動地向道路上的車輛和行人顯示紅色閃光信號并發出音響信號。
設有道口自動信號及自動欄木的道口,當列車駛入接近區段,道口信號機自動發出音響及紅色閃光信號時,欄木應滯后道路車輛以規定最低速度通過道口的時間(t
1)開始下落,以讓進入兩欄木之間的車輛、行人通過道口;自動欄木落下后,應自動切斷音響。
8.3.4 列車尾部通過道口后,道口自動信號(編者注:“信號”應改為“通知”)或道口自動信號及自動欄木應及時恢復道路通行狀態。
8.3.5 在列車接近及通過道口的過程中,道口自動信號應及時、正確、可靠地顯示;當軌道電路或其控制設備發生故障時,道口自動信號應能自動導向列車接近狀態的顯示或報警停用狀態。
8.3.6 列車接近通知時間及接近區段長度的計算見附錄B(標準的附錄)。
單線區段的接近時間,有欄木的道口不得小于40s,無欄木的道口不得小于30s;每增加一條鐵路線路,接近時間應增加5s。
8.3.7 在自動閉塞或有軌道電路的區段,應利用現有軌道電路。當現有軌道電路不能滿足道口信號接近區段長度要求時,可適當延長報警時間,但總的報警時間不得超過60s。當利用現有軌道電路確有困難時,可采用其他類型的疊加傳遞設備或采用微機聯鎖系統實行集中控制。
8.4 器材和設備的技術要求
8.4.1 道口信號設備電源的供電等級不得低于二級。交流電源電壓允許范圍為

直流電源電壓允許范圍為

8.4.2 道口信號機的燈光和音響信號,應符合下列要求:
a)紅色燈光直線顯示距離不應小于100m,月白色燈光直線顯示距離不應小于50m,偏散角不應小于40°;
b)光源采用12V25W或12V15W雙絲燈泡;
c)音響信號應采用無噪聲的經濟耐用的音響設備;
d)采用電子閃光器或繼電器方式的閃光器,其閃光頻率為60次/min±10次/min,亮黑比為1:1,負載能力為100W。
8.4.3 道口自動通知和道口自動信號采用的軌道電路,應有可靠的抗干擾能力,并根據實際需要采取防雷措施。
8.4.4 道口信號器材應采用符合本標準要求的產品。所采用的器材或設備應在其要求的工作環境條件下可靠地工作。
8.4.5 自動化設備發生故障時,應能自動導向保證安全的狀態或顯示。
9 道口標志、護樁和標線
9.1 道口標志
9.1.1 各級道口均應根據所跨越的鐵路股數,相應設置鐵路道口標志或多股鐵路道口標志。
9.1.2 鐵路道口標志的板面為等邊三角形,頂角朝上,尺寸如圖3所示。板面顏色為黃底、黑邊、黑圖案。圖案應以制作圖(見圖4)按比例放大繪制。鐵路道口標志(見圖5)表示前方有單股鐵路道口,警告車輛、行人注意了望,小心火車。
9.1.3 表示多股鐵路與道路交叉的叉形符號為白底、紅邊,如圖6所示。它設在鐵路道口標志的上端,其交叉點距標志板三角形頂點400mm。叉形符號與鐵路道口標志共同組成多股鐵路道口標志,如圖7所示。該標志表示前方有多股鐵路道口,警告車輛、行人要特別注意了望,小心火車。
9.1.4 停車了望讓行標志如圖8所示,為等邊三角形,頂確朝下。板面尺寸同圖3,板面顏色為紅底、白字。
該標志表示車輛、行人通過道口,必須在停止線以外停車或止步了望,確認安全后通過。
9.1.5 符合6.1 a)的四級道口應設置慢速了望讓行標志。
慢速了望讓行標志如圖9所示,為等邊三角形,頂角朝下。板面尺寸同圖3。板面顏色為白底、紅邊、黑字。紅邊邊寬為70mm。
該標志表示車輛、行人通過無人看守道口,必須慢行,加強了望,確認無列車接近道口后再通過;遇有列車即將通過道口時,必須依次停在慢速了望讓行標線以外。
9.1.6 停車了望讓行標志的“停”字和慢速了望讓行標志的“讓”字,其高分別為240mm和170mm,字高與字寬相等,采用粗等線體,筆劃粗為字高的1/10。
9.1.7 行駛電力機車的廠內道口未設限界架時,應在道口兩端,機動車駛向道口方向的右側適當地點,設置道口限高標志。
道口限高標志為圓形,其圖案及尺寸如圖10所示。板面顏色為白底、紅圈和黑圖案;該標志表示嚴禁高度超過4.5m的車輛通過道口。
9.1.8 各級道口應在機動車輛駛向道口方向的右側設置限制速度標志(見圖11),在道口另一端應配套設置解除限制速度標志(見圖12)。解除限制速度標志與最外股鋼軌外側的距離不應小于5m。
限制速度標志為白底、紅圈、黑圖案,表示機動車輛應以低于該標志板上的速度通過道口。解除限制速度標志為白底、黑圈、黑杠、黑圖案,圖案壓杠。表示機動車輛不受此規定速度限制。
9.1.9 各種標志應設置在道路車輛駛向道口方向的右側,機動車駕駛員視角范圍之內,不得被樹木或建、構筑物所遮蔽。距最外股鋼軌外側的距離不應小于表3的規定。
表3 各種標志距最外股鋼軌外側的距離 m

9.1.10 各種標志的板面近路側邊緣與路面(或硬路肩)邊緣的水平距離不得小于250mm,板面下緣距路面的高度為1.8~2.5m。
各種標志的板面一般應面向來車方向,與道路中心線成80°~90°的交角。
9.2 鳴笛標志
9.2.1 道口應設置司機鳴笛標志,機車司機見此標志須長聲鳴笛。
9.2.2 司機鳴笛標志的板面為正方形,邊長600mm,標志板與立柱的連接如圖13所示。板面顏色為白底、黑邊、黑色“鳴”字,黑邊邊寬為30mm,其外緣應有白色襯底,襯底的邊寬為5mm。字高為320mm、字高與字寬相等,采用粗等線體,筆劃粗為字高的1/10。背面及立柱為乳白色或淺灰色,板面下緣距軌面的高度為1.4m。
9.2.3 司機鳴笛標志設置于列車駛向道口方向的左側,距道口200~300m的范圍內。具體設置距離根據列車速度、道口長度及地形情況確定。設置距離在廠內道口受到限制時,可適當縮短。
9.3 道口護樁和標線
9.3.1 三、四級道口,應設護樁(特殊情況除外),一、二級道口可根據實際需要設置。
道口護樁如圖14所示,可用鋼筋混凝土、木材等制作。在道口兩端的道路兩側各設二至五個護樁。第一個護樁距最外股鋼軌外側2.0~2.5m。護樁間距為1.5m,高于路面0.85m,表面涂以黑、白相間各200mm寬的水平條紋。
9.3.2 設有道口自動信號及自動欄木的雙車道道口,可根據需要設置道口路段中央分隔帶護欄。
道口路段中央分隔帶護欄由隔離墩與鋼管或索鏈連接而成,沿道口兩端道路中心線擺設,隔離墩間距為5m。中央分隔帶護欄的起點應與落下的欄木相接近,全長不應小于20m,顏色為紅、白相間。
9.3.3 設有道口自動信號而無自動欄木的雙車道道口,應設置道口路段中心線。道口路段中心線表示車輛、行人在任何情況下都不準跨越或壓線通過道口。
9.3.4 道口路段中心線應符合下列規定:
a)道口路段中心線為黃色單實線;
b)漆劃在道口兩端道路的中心線位置上,其長度從鐵路道口的停止線起,廠外道口不應小于60m,廠內道口不應小于20m;寬度均為100~150mm。
9.3.5 設有停車了望讓行標志的道口均應設置停止線;
停止線表示車輛、行人等候放行信號或停車了望的位置。即在道口信號機顯示紅燈或道口看守員示意列車即將通過時,車輛、行人必須依次停在停止線以外。
停止線應與停車了望讓行標志配合使用。
9.3.6 停止線應符合下列規定:
a)停止線為白色單實線,線寬為200mm,如圖15所示;
b)停止線的長度為:雙車道道口自機動車駛向道口方向的右側路緣劃至路中心,單向通行的道口,應橫跨整個路面;
c)停止線應漆劃在道口兩端距欄木1.5~3.0m處,無欄木的道口,應漆劃在道口兩端距最外股鋼軌外側5m處,停止線宜與道路中心線垂直。
9.3.7 設有慢速了望讓行標志的道口,應設置慢速了望讓行標線。慢速了望讓行標線為兩條平行的白色虛線,線間距和線寬均為200mm,如圖16所示。
該標線與慢速了望讓行標志配合使用,表示車輛、行人通過無人看守的廠內道口時,必須慢速了望,遇有列車即將通過時,車輛、行人必須依次停在該標線以外。
慢速了望讓行標線應漆劃在道口兩端距最外股鋼軌外側5m處,并宜與道路中心線垂直,其長度與停止線相同。

圖1 道口信號機示意圖

圖2 遮斷信號機

圖3 標志板面尺寸圖

圖4 鐵路道口標志版面制作示例圖

圖5 鐵路道口標志

圖6 叉形符號

圖7 多股道的鐵路道口標志

圖8 停車了望讓行標志

圖9 慢速了望讓行標志

圖10 道口限高標志

圖11 限制速度標志

圖12 解除限制速度標志

圖13 火車司機鳴笛標志

圖14 道口護樁

圖15 停止線

圖16 慢速了望讓行標線
附錄A
(標準的附錄)
標準汽車換算系數K
A1 標準載重汽車(包括重型載重汽車、膠輪拖拉機帶掛車、大客車等):K=1.0。
A2 帶掛車的載重汽車(包括大平板車、帶鉸接的大型公共汽車等):K=1.5。
A3 小汽車(包括吉普車、摩托車、手扶拖拉機帶掛車、小型旅行車等):K=0.5。
A4 獸力車:K=2.0。
A5 架子車、人力車:K=0.5。
A6 自行車:K=0.1。
A7 行人:K=0.05。
附錄B
(標準的附錄)
列車接近通知時間及接近區段長度的計算
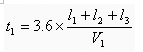
B1 列車接近通知時間的計算公式
T=t
1+t
2+t
3…………………………………………(B1)
式中:T——列車接近通知時間,s;
t
1——道路車輛以規定最低速度通過道口的時間,s;
t
2——道口欄木關閉時間,s;
t
3——道口欄木關閉后至列車到達道口的時間,s。

…………………………………………(B2)
式中:l
1——兩道口信號機之間或兩停止線間的距離,m;
l
2——道路車輛確認信號顯示的最小距離,m;
l
3——道路車輛車體長度,m;
V
1——道路車輛通過道口的規定最低速度,km/h。
B2 接近區段長度計算公式

……………………………………………………(B3)
式中:L——接近區段長度,m;
V
2——列車在接近區段內運行的最高速度,km/h;
T——列車接近通知時間,s。
_____________________