1 主題內容與適用范圍
本標準規定了工業氯酸鈉的技術要求、試驗方法、檢驗規則以及標志、包裝、運輸、貯存。
本標準適用于工業氯酸鈉。該產品主要用于印染、造紙等工業。
分子式:NaCl03。
相對分子質量:106.44(按1991年相對原子質量)
2 引用標準
GB 190 危險貨物包裝標志
GB 191 包裝儲運圖示標志
GB/T 601 化學試劑 滴定分析(容量分析)用標準溶液的制備
GB/T 602 化學試劑 雜質測定用標準溶液的制備
GB/T 603 化學試劑 試驗方法中所用制劑及制品的制備
GB 1250 極限數值的表示方法和判定方法
GB/T 3049 化工產品中鐵含量測定的通用方法 鄰菲噦啉分光光度法
GB/T 305l 無機化工產品中氯化物含量測定的通用方法 汞量法
GB/T 6678 化工產品采樣總則
GB/T 6682 分析實驗室用水規格和試驗方法
3 技術要求
3.1 外觀:白色或略帶黃色晶體。
3.2 工業氯酸鈉應符合下表要求:

本標準所用試劑和水,在沒有注明其他要求時,均指分析純試劑和GB/T 6682中規定的三級水。
試驗中所需標準滴定溶液、雜質標準溶液、制劑及制品,在沒有注明其他規定時,均按GB/T 601、
GB/T 602、GB/T 603之規定制備。
4.1 氯酸鈉含量的測定
4.1.1 方法提要
用已知并過量的鐵(Ⅱ)鹽還原氯酸鈉,以二苯胺磺酸鈉為指示劑,用重鉻酸鉀標準滴定溶液滴定過量的鐵(Ⅱ)鹽。
4.1.2 試劑和材料
4.1.2.1 硫酸(GB/T 625);
4.1.2.2 磷酸(GB/T 1282);
4.1.2.3 重鉻酸鉀(GB/T 642):c(1/6K2Cr2O7)約0.1mol/L標準滴定溶液;
4.1.2.4 硫酸亞鐵銨(GB/T 661):c[(NH4)2Fe(SO4)2]約0.1 mol/L溶液;
4.1.2.5 二苯胺磺酸鈉:5g幾指示液。
4.1.3 分析步驟
稱取約2.5g試樣,精確至0.001 g,加水溶解,移至1 000mL容量瓶中,稀釋至刻度,搖勻。
用移液管移取25mL上述溶液,置于500mL錐形瓶中,用移液管移取50mL硫酸亞鐵銨溶液,置于錐形瓶中,緩慢加入20mL硫酸和5mL磷酸,同時冷卻,在室溫下靜置10min。稀釋至300mL左右,加5滴二苯胺磺酸鈉指示液,用重鉻酸鉀標準滴定溶液滴定至溶液變為紫色為終點。
同時作空白試驗。
4.1.4 分析結果的表述
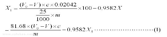
以質量百分數表示的氯酸鈉含量X1按式(1)計算:

式中:V0——空白試驗所消耗的重鉻酸鉀標準滴定溶液的體積,mL;
y——滴定試驗溶液所消耗的重鉻酸鉀標準滴定溶液的體積,mL;
C——重鉻酸鉀標準滴定溶液的實際濃度,mol/L;
0.017 74——與1.00mL重鉻酸鉀標準滴定溶液[c(1/6K2Cr2O7)=1.000mol/L]相當的以克表示的氯酸鈉的質量;
m——試料質量,g;
X2——按本標準第4.2條測得的水分。
4.1.5 允許差
取平行測定結果的算術平均值為測定結果,平行測定結果的絕對差值不大于0.2%。
4.2 水分的測定
4.2.1 儀器、設備
4.2.1.1 稱量瓶:φ50mm×30mm。
4.2.2 分析步驟
用于105℃~110℃下已恒重的稱量瓶稱取約10g試樣,精確至0.0002g,在105℃~110℃下干燥至恒重。
4.2.3 分析結果的表述
以質量百分數表示的水分X2按式(2)計算:

式中:m1——干燥前稱量瓶與試料質量,e;
m2——干燥后稱量瓶與試料質量,g;
m——試料質量,g。
4.2.4 允許差
取平行測定結果的算術平均值為測定結果,平行測定結果的絕對差值不大于0.01%。
4.3 水不溶物含量的測定
4.3.1 方法提要
試樣溶于熱水中,用坩堝式過濾器過濾、洗滌、干燥、稱量。
4.3.2 試劑和材料
4.3.2.1 亞硝酸鈉(GB/T 633);
4.3.2.2 硝酸(GB/T 626):1+1溶液;
4.3.2.3 硝酸銀(GB/T 670):5g/L溶液;
4.3.3 儀器、設備
4.3.3.1 坩堝式過濾器:濾板孔徑5/μm~15/μm。
4.3.4 分析步驟
稱取約25g試樣,精確至0.1g,溶于300mL熱水中,用于105℃~110℃下已恒重的坩堝式過濾器過濾,以熱水洗滌坩堝中的水不溶物,洗滌至濾液中無氯酸根離子為止,在105℃~110℃下干燥至恒重。
注:氯酸根離子的檢驗:用試管接1mL~2mL洗滌殘渣濾液,加入幾粒固體亞硝酸鈉及數滴硝酸溶液,再加入數
滴硝酸銀溶液后應不呈渾濁。
4.3.5 分析結果的表述
以質量百分數表示的水不溶物含量X3按式(3)計算:

式中:m1——水不溶物及坩堝式過濾器質量,g;
m2——坩堝式過濾器質量,g;
m——試料質量,g。
4.3.6 允許差
取平行測定結果的算術平均值為測定結果,平行測定結果的絕對差值不大于0.005%。
4.4 氯化物含量的測定
4.4.1 方法提要
同GB/T 3051第2條。
4.4.2 試劑和材料
同GB/T 3051第4條。
4.4.3 儀器、設備
4.4.3.1 微量滴定管:名義分度值為0.01mL或0.02mL。
4.4.4 分析步驟
稱取約5g試樣,精確至0.01g,加100mL水使其溶解,加3滴溴酚藍指示液,滴加c(HNO3)約1mol/L的硝酸溶液至溶液呈黃色,再過量5滴,加入1mL二苯偶氮碳酰肼指示液,用硝酸汞標準滴定溶液c[1/2Hg(NO3)2•H2O]=0.05mol/L滴定,溶液由黃色變為紫紅色即為終點。
同時作空白試驗。
滴定后的含汞廢液按GB/T 3051附錄D處理。
4.4.5分析結果的表述
以質量百分數表示的氯化物(以C1計)含量X4按式(4)計算:

式中:V——滴定所消耗的硝酸汞標準滴定溶液的體積,mL;
V0——空白試驗所消耗的硝酸汞標準滴定溶液的體積,mL;
c——硝酸汞標準滴定溶液的實際濃度,mol/L;
0.03545——與1.00mL硝酸汞標準滴定溶液{c[1/2Hg(NO3)•H2O]=1.000mol/L}目當的以克表示的氯化物(以C1計)的質量;
m——試料質量,g。
4.4.6 允許差
取平行測定結果的算術平均值為測定結果,平行測定結果的絕對差值不大于0.01%。
4.5 硫酸鹽含量的測定
4.5.1 方法提要
在鹽酸介質中,鋇離子與硫酸根離子生成難溶的硫酸鋇,當硫酸根離子含量較低時,在一定時間內硫酸鋇呈懸浮體,可用硫酸鹽的光電比濁法測定。
4.5.2試劑和材料
4.5.2.1 氯化鋇(GB/T 652):200g/L溶液;
4.5.2.2 鹽酸(GB/T 622):1+3溶液;
4.5.2.3 可溶性淀粉,10g/L溶液;
4.5.2.4 硫酸鹽標準溶液:1mL溶液含有0.01mgSO4。
用移液管移取10mL按GB/T 602配制的標準溶液,置于100mL容量瓶中,用水稀釋至刻度,搖勻。臨用時配制。
4.5.3 儀器、設備
4.5.3.1 分光光度計:帶有厚度為5cm吸收池。
4.5.4 分析步驟
4.5.4.1 工作曲線的繪制
在一組50mL容量瓶中用移液管分別加入0,4.0,8.0,12.0,16.0,20.0mL硫酸鹽標準溶液,加水至30mL。
向每個容量瓶中分別加入2.0mL鹽酸溶液,6.0mL淀粉溶液,仔細混勻1min。然后加6.0mL氯化鋇溶液,加水至刻度,再次搖勻1min,以后每隔10min搖勻一次。
40min后,使用分光光度計,用5cm吸收池,以水為參比,于波長485nm處測量其吸光度。
以硫酸鹽質量(mg)為橫坐標,相應的吸光度為縱坐標,根據得到的數值繪制工作曲線。
4.5.4.2 試驗溶液的制備
稱取15g試樣,精確至0.01 g,加水使其溶解,必要時應過濾,將其轉移至500mL容量瓶中,加水至刻度,搖勻。
4.5.4.3 測定
用移液管移取20mL試驗溶液和20mL水(空白試驗),轉移至50mL容量瓶中,按4.5.4.1條規定,從“向每個容量瓶中分別加2.0mL鹽酸溶液……”開始,至“……測量其吸光度”為止進行操作。
4.5.5 分析結果的表述
以質量百分數表示的硫酸鹽(以SO4計)含量X5按式(5)計算:

式中:ml——根據測得的試驗溶液吸光度,從工作曲線上查出的硫酸鹽(SO4)的質量,mg;
m0——根據測得的空白試驗溶液的吸光度,從工作曲線上查出的硫酸鹽(SO4)的質量,mg;
m——試料質量,g。
4.5.6 允許差
取平行測定結果的算術平均值為測定結果,平行測定結果絕對差值不大于0.005%。
4.6 鉻酸鹽含量的測定
4.6.1 方法提要
試樣用水溶解后,在酸性介質中鉻(Ⅵ)與二苯氨基脲生成紅紫色絡合物,用分光光度計,于波長540nm處測量其吸光度。
4.6.2 試劑和材料
4.6.2.7 硫酸(GB/T 625):1+6溶液;
4.6.2.2 鉻酸鹽標準溶液:1mL溶液含有0.001mgCrO4;
用移液管移取lomL按GB/T 602配制的鉻酸鹽標準溶液,置于1000mL容量瓶中,用水稀釋至刻度,搖勻。臨用時配制。
4.6.2.3 二苯氨基脲(HG/T 3—964):1g/L溶液;
稱取0.1 g二苯氨基脲,精確至0.0002g,溶解于100mL丙酮(GB/T686)中。溶液貯存于棕色玻璃瓶中。
4.6.3 儀器、設備
4.6.3.1 分光光度計:帶有厚度為2cm吸收池。
4.6.4 分析步驟
4.6.4.1 工作曲線的繪制
在一組25mL容量瓶中用移液管分別移入0,2.0,4.0,6.0,8.0,10.0mL鉻酸鹽標準溶液,加1mL二苯氨基脲溶液,加水至刻度并仔細搖勻。放置2min。使用分光光度計,用2cm吸收池,以水為參比,于波長540nm處測量其吸光度。
以鉻酸鹽質量(mg)為橫坐標,對應的吸光度為縱坐標,繪制工作曲線。
4.6.4.2 試驗溶液的制備
稱取10g試樣,精確至0.01g。全部移入1000mL容量瓶中,加水至刻度并仔細混勻。
4.6.4.3 測定
用移液管移取10mL試驗溶液和10mL水(空白試驗),置于25mL容量瓶中,以下按4.6.4.1中從“加入1mL硫酸溶液……”開始,至“……測量其吸光度”進行操作。
4.6.5 分析結果的表述
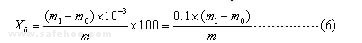
以質量百分數表示的鉻酸鹽(以CrO4計)含量X6按式(6)計算:
式中:m1——根據測得的試驗溶液吸光度,從工作曲線上查出的鉻酸鹽質量,mg;
m0——根據測得的空白試驗溶液吸光度,從工作曲線上查出的鉻酸鹽質量,mg;
m——試料質量,g。
4.6.6 允許差
取平行測定結果的算術平均值為測定結果,平行測定結果絕對差值不大于0.005%。
4.7 鐵含量的測定
4.7.1 方法提要
同GB/T 3049第2條。
4.7.2 試劑和材料
同GB/T 3049第3條。
4.7.3 儀器、設備
4.7.3.1 分光光度計:帶有厚度為3cm吸收池。
4.7.4 分析步驟
4.7.4.1 工作曲線的繪制
按GB/T 3049第5.3條規定,選用厚度為3cm吸收池及其對應的鐵標準溶液用量,繪制工作曲線。
4.7.4.2 試驗溶液的制備
稱取約1g試樣,精確至0.01g,置于150mL高型燒杯中,加20mL1+3鹽酸溶液使其溶解,蓋上表面皿,小心加熱并蒸發至干,加水溶解。對于一等品和合格品,可在100mL容量瓶定容后再取10mL溶液。
4.7.4.3 空白試驗溶液的制備
在150mL高型燒杯中,用制備試驗溶液的全部試劑和同樣用量及相同的操作制備空白試驗溶液。
4.7.4.4 測定
對試驗溶液和空白試驗溶液,按GB/T3049第5.4條規定,從“必要時,加水至60mL……”開始,至“……測量其吸光度”進行操作。
4.7.5 分析結果的表述
以質量百分數表示的鐵含量X7按式(7)計算:

式中:m1——根據測得的試驗溶液吸光度,從工作曲線上查出的鐵的質量,mg;
m0——根據測得的空白試驗溶液吸光度,從工作曲線上查出的鐵的質量,mg;
m——分析所取試料質量,g。
4.7.6 允許差
取平行測定結果的算術平均值為測定結果,平行測定結果絕對差值不大于0.001%。
5 檢驗規則
5.1 工業氯酸鈉應由生產廠的質量監督檢驗部門按本標準的規定進行檢驗。生產廠應保證所有出廠的產品都符合本標準的要求。
每批出廠的產品都應附有質量證明書,內容包括:生產廠名、廠址、產品名稱、等級、凈重、批號或生產日期、產品質量符合本標準的質量證明和本標準編號。
5.2 使用單位有權按照本標準的規定對所收到的工業氯酸鈉在一個月內進行驗收。
5.3 工業氯酸鈉每批產品不超過60t。
5.4 按照GB/T 6678第6.6條規定確定采樣單元數。采樣時,將采樣器自包裝袋的中心垂直插入至料層深度的4/5處采樣。將所采樣品混勻后,以四分法縮分到不少于500g,將樣品分裝于兩個清潔、干燥、帶磨口塞的廣口瓶中,密封。瓶上粘貼標簽,注明:生產廠名、產品名稱、等級、批號、采樣日期和采樣者姓名。一瓶用于檢驗,另一瓶保存3個月備查。
5.5 檢驗結果如有一項指標不符合本標準要求,則應重新自兩倍量的包裝單元中采樣進行核驗,核驗結果即使有一項指標不符合本標準的要求,則整批產品不能驗收。
5.6 供需雙方對產品質量發生異議時,按照《中華人民共和國產品質量法》的規定辦理。
5.7 用GB1250規定的修約值比較法判定檢驗結果是否符合標準。
6 標志、包裝、運輸、貯存
6.1 工業氯酸鈉包裝容器上應有牢固清晰的標志,內容包括:生產廠名、廠址、產品名稱、商標、等級、凈重、批號或生產日期、本標準編號、GB190規定的“氧化劑”標志及GB191規定的“怕熱”標志和“怕濕”標志。
6.2 工業氯酸鈉采用雙層包裝。內包裝采用聚乙烯塑料薄膜袋,薄膜厚度為0.08±0.01 mm,或采用二層牛皮紙袋。外包裝采用厚度為0.7mm鋼桶。每桶凈重不超過50kg。按零擔運輸時,鋼桶應再加透籠木箱。
塑料內包裝袋用維尼龍繩或其他質量相當的繩將袋口扎緊,或用其他相當的方式封口;牛皮紙袋用維尼龍線或其他質量相當的線縫口。鋼桶桶蓋應密封牢固。
6.3 工業氯酸鈉在運輸過程中應有遮蓋物,防止雨淋、受潮,搬運時要小心輕放,嚴禁撞擊,不能與易燃易爆物混運。
6.4 工業氯酸鈉應貯存于陰涼干燥處,防止受熱、受潮或陽光暴曬。
附加說明:
本標準由中華人民共和國化學工業部提出。
本標準由化學工業部天津化工研究院歸口。
本標準由化學工業部天津化工研究院、長壽化工總廠、福州第一化工廠負責起草。
本標準起草人蘇培基、黨呈裕、施有廉、蘇祖玉、林知中、王琪。
本標準等效采用FOCTl2257—77《工業氯酸鈉技術條件》
牙膏中4-氨甲基環己甲酸(凝血酸)的…
塑料保鮮盒
牙膏中甲醛含量的測定 高效液相色譜法
眼部護膚化妝品中禁用水溶性著色劑酸…
滌綸牽伸絲
莎稗磷乳油有效成分含量的測定方法 …
禾草敵乳油有效成分含量的測定方法 …
生橡膠 丙烯腈-丁二烯橡膠(NBR)中…
常用化學危險品貯存通則【作廢】
工業管道的基本識別色、識別符號和安…
氣瓶顏色標志【作廢】
危險化學品從業單位安全標準化通用規范
常用危險化學品的分類及標志【作廢】
紡織工業企業安全管理規范
化工企業安全衛生設計規定【作廢】
危險化學品貯存通則