??? 4.2 求事故樹基本事件的結構重要度
??? 根據僅出現在同一個最小割集中的所有基本事件結構重要度相等,以及僅出現在基本事件個數相等的若干個最小割集中的各基本事件結構重要度依出現次數而定。出現次數少,其結構重要度小;出現次數多,其結構重要度大;出現次數相等,其結構重要度相等。因為X14,X15,X16,X22,X23,X24,X25都只在含有3個基本事件的最小割集中出現了1次,X3,X4,X5都只在含有2個基本事件的最小割集中出現了1次,X12只在含有3個基本事件的最小割集中出現了3次,X17,X18,X19只在含有3個基本事件的最小割集中出現了4次,X1只在含有2個基本事件的最小割集中出現了3次,X2只在含有3個基本事件的最小割集中出現了7次,X13只在含有3個基本事件的最小割集中出現了8次,X8,X9,X20,X21都只在含有2個基本事件的最小割集中出現了4次,X6,X7,X10,X11在含有2個基本事件的最小割集中出現了4次,在含有3個基本事件的最小割集中出現了2次,所以各基本事件的結構重要度有如下關系:
??? IΦ(14)=IΦ(15)=IΦ(16)=IΦ(22)=IΦ(23)=
??? IΦ(24)=IΦ(25)
??? IΦ(3)=IΦ(4)=IΦ(5)
??? IΦ(17)=IΦ(18)=IΦ(19)
??? IΦ(8)=IΦ(9)=IΦ(20)=IΦ(21)
??? IΦ(6)=IΦ(7)=IΦ(10)=IΦ(11)
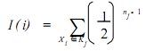
??? 由事故樹基本事件結構重要度近似判別式算得:
??? 式中:nj———基本事件Xi所在割集Kj中基本事件個數。
??? 所以根據近似法判斷得出事故樹基本事件結構重要度排序如下:
??? IΦ(6)=IΦ(7)=IΦ(10)=IΦ(11)>IΦ(8)=IΦ(9)=IΦ(20)=IΦ(21)=IΦ(13)>IΦ(2)>IΦ(1)>IΦ(17)=IΦ(18)=IΦ(19)>IΦ(12)>IΦ(3)=IΦ(4)=IΦ(5)>IΦ(14)=IΦ(15)=IΦ(16)=IΦ(22)=IΦ(23)=IΦ(24)=IΦ(25)
鞭炮煙花有限公司倉儲庫房建設項目安…
爆破項目民用爆炸物品儲存庫安全現狀…
爆破工程有限責任公司民用爆炸物品儲…
爆破工程有限公司民用爆炸物品儲存庫…
爆破工程公司民用爆炸物品儲存庫新建…
爆破工程公司民用爆炸物品儲存庫安全…
半導體公司安全現狀評價報告
民用爆炸物品儲存庫安全現狀評價報告
加油站安全現狀評價報告
職業病危害(職業衛生)預評價報告書
加油站評價報告
加油站風險評價報告
重大危險源安全評價報告
氧氣瓶安全風險事故樹分析
學校安全風險評估報告
淺述雙氧水生產過程危害評價及對策