關鍵詞:煤礦通風系統;灰色關聯度;安全評價
礦井通風系統是利用通風動力向井下備用風地點提供優量足夠的新鮮空氣,稀釋并排出有毒有害氣體,營造一個安全舒適的作業環境,其優劣與否直接影響工人的身體健康和生命安全。由于影響通風系統的因素很多,衡量礦井通風系統優劣的指標也很多。因此,評價礦井通風系統安全與否是個重要而復雜的問題,做好這項工作,對提高礦井通風系統管理具有重要意義。
本文選用了灰色關聯分析的通風系統兩級評價方法,理由如下:
(1)灰色關聯度評價法簡便可行,評價結果直觀、可靠,又彌補了模糊綜合評判法的不足。
(2)目前,礦井通風系統安全評價方法有多種,這些方法各有優缺點,但評價的精確性和礦井通風系統的不完全可知性之間的矛盾都未能解決。近年來,模糊數學評價方法引起了人們的重視。然而礦井通風系統除了模糊性之外,還有一種特性,即系統的灰色性——信息的不完全性和非確知性。系統的灰色性不但包含了隨機性和模糊性,還包括了這兩種不確定性以外的系統的更為廣泛的特性,因此,采用灰色系統關聯度評價法對礦井通風系統進行評價,能有效地彌補模糊綜合評判法的不足,使評價結果更為客觀、合理。
(3)在以風定產的煤礦企業,為了搞好煤礦的通風工作,許多礦務局都開展了相互學習、相互借鑒的活動,為了使不同煤礦的優劣勢能很好的反映出來,使活動達到更好的效果,同時還可以對單個煤礦通風系統進行總體評價,本文選用了灰色關聯分析的兩級評價。
1 煤礦通風系統改造評價指標體系的建立
建立合理科學的煤礦通風改造評價指標體系是對礦井通風狀況進行綜合評價的基礎和關鍵。礦井通風系統是一個多目標、多準則、多因素、多層次的空間分布極其復雜的系統,其中,人、機、環境等3方面影響因素共存,本著科學、可測、可比、簡明和可操作的原則,從技術的可行性、經濟合理性和安全可靠性3個方面,利用多目標決策的原理和方法,并參照現有的礦井通風系統指標體系成果,提出了一套較為全面、科學、合理的礦井通風系統評價體系,如圖1所示。
2 灰色關聯數學模型分析
灰色關聯度分析是系統態勢的量化比較分析,其實質就是比較若干數列所構成的曲線與理想(標準)數列所構成的曲線幾何形狀的接近程度,幾何形狀越接近,其關聯度越大,根據關聯度大小順序就可反映出評價對象的優劣次序。本文采用灰色關聯度多層次分析法評價礦井通風系統優化方案的基本思路是:以被評價方案的各項指標作為比較數列,以各項指標對應的最佳值作為參考數列,求關聯度,關聯度越大,說明該方案越優。因此,關聯度的大小順序,就是評價礦井通風系統優化方案優劣的次序。
2.1 比較數列和參考數列的確定
設

為參考數列;
為比較數列。
確定參考序列時,要根據比較序列的指標類型來選取參考值,不同的指標類型,取值的方法不同。目前文獻中見到的指標類型有效益型、成本型、固定型、區間型、偏離型和偏離區間型6種。參考序列指標值的選取原則是:對于效益型指標值越大越好,對于成本型指標值越小越好,對于固定型指標值越接近某一值越好,區間型指標值越接近某固定區間越好,偏離型指標值越偏離某固定值越好,偏離區間型指標值越偏離某區間越好。
2.2 原始數據變換的規范化處理
由于系統中各因素的物理意義不同,導致數據的量綱也不一定相同,這樣在比較數據時就難以得到正確的結果,為了便于分析,保證各因素具有等效性和同序性,因此需要對原始數據進行處理,使之無量綱化和歸一化,即數據變換的問題。常用的數據變換方法有:初值化處理、均值化處理、區間值化處理和歸一化處理。本文采用區間值變化法進行數據處理,即
2.3 關聯系數的計算
如果令經過數據變換的參考數據序列為X0,比較序列為置,Xi=1,2,…,n,且
則稱:
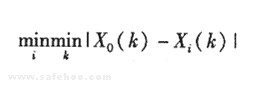
為曲線X0與在第k點的相對關聯系數。其中,

稱為第k點X0與Xi的絕對差;

稱為兩極最小差,其中

為第一最小差,表示在曲線上
Xi各點與X0的最小差。

是第二最小差,表示在各曲線上找出的最小差基礎上,再按i=1,2,…,n,找所有曲線Xi中的最小差。
為兩極最大差,其意義與最小差相似。p為分辨系數,用來削弱△max數值過大而失真的影響,以提高關聯系數之間差異的顯著性。當

時,其具有最大信息量和最大信息分辨率,一般取ρ=0.5為宜。
于是,據此可求出Xi(k)與對應X0(k)的關聯系數:

2.4 關聯度的計算
關聯度分析,實質上是將時間序列數據進行幾何關系的比較,如果兩比較序列在各時刻均重合在一起,即關聯系數處等于1,則關聯度也等于1。對于2個時間序列來說,關聯系數均>0,故關聯度也>0。因此,兩比較序列的關聯度可以用2個序列各時刻的關聯系數的均值(考慮加權后,則求其加權平均值)來表示,其數學模型為:
式中:ωk為權重,ζi為比較序列與參考序列的關聯度,n為比較序列的長度(即數據數)。
2.5 排關聯序
由上述可知,在灰色關聯度分析中,關鍵是比較各比較序列對參考序列的關聯度的大小,所以,應將幾個比較序列對同一參考序列的關聯度按大小順序排列,組成關聯序。這一關聯序直接反映了比較序列對參考序列的相關性強弱的順序,一般說來,表征煤礦通風系統關聯度越大,礦井的通風系統就越好,這樣,我們就可以對通風改造的幾個方案做出較為客觀的綜合評價,并以此作為安全管理工作的參考依據。
3 應用
下面以徐州礦務集團下屬3個煤礦為例,對建立的煤礦通風系統灰色關聯評價模型進行驗證,如表1所示。為使改造后的通風系統在技術、經濟和安全可靠等方面總體效果最佳,需要對擬定的通風系統方案進行優化評判。
表1 礦井通風系統指標評價分級界定值
3.1 確定評價序列并構造數據序列
根據評價序列的確定方法,得到評價序列:
利用表1中數據構造數據矩陣
3.2 數據規范化處理
根據表1,將評價指標分為6類,按照本文2.5介紹的數據處理方法,對原始數據矩陣做區間化處理,得到6個分類后的子集序列矩陣。
3.3 計算關聯系數
用關聯系數計算公式(2),其中的分辨系數一般為0~1,此處取為ρ=0.5,由公式得各個子集的關聯系數,并建立下列關聯系數矩陣。
3.4 初級評價
由關聯度計算公式(4)及表1和關聯系數矩陣中的數據,得到Ⅰ類指標的關聯度
其中
得

3個礦井關聯度排序為B>A>C,在此類指標中B礦的通風安全指標最優,A礦次之,C礦最差。同理可得到其他的指標
由上述的關聯度可以對煤礦進行初級評價。
3.5 二級通風安全綜合評價
從初級評價中看到各煤礦都存在著自己的強弱勢,但是不能反映1個煤礦總體的通風安全情況,為此根據全部指標類別,對礦井通風系統進行二級綜合評價,由公式(4)可得綜合關聯度
關聯度排序為RA>RB>RC,所以A礦通風系統安全狀況最好,B礦次之,C礦最差,與實際情況吻合。結果顯示C礦應采取相應的措施,彌補通風系統現有的種種不足與缺陷,在以風定產的煤礦企業中取得更好的經濟效益。
4 結論
(1)系統的灰色性不但包含了隨機性和模糊性,還包括了這2種不確定性以外的系統的更為廣泛的特性。對于解決情況復雜的礦井通風系統,灰色關聯度評價法提供了新的途徑。
(2)灰色關聯度評價法簡便可行,評價結果直觀、可靠,又彌補了模糊綜合評判法的不足。
(3)初級評價很好的顯示了各煤礦的優缺點。二級評價反應了礦井的通風系統總體情況,便于發現問題,達到通風系統各環節的協調工作。
鞭炮煙花有限公司倉儲庫房建設項目安…
爆破項目民用爆炸物品儲存庫安全現狀…
爆破工程有限責任公司民用爆炸物品儲…
爆破工程有限公司民用爆炸物品儲存庫…
爆破工程公司民用爆炸物品儲存庫新建…
爆破工程公司民用爆炸物品儲存庫安全…
半導體公司安全現狀評價報告
民用爆炸物品儲存庫安全現狀評價報告
加油站安全現狀評價報告
職業病危害(職業衛生)預評價報告書
加油站評價報告
加油站風險評價報告
重大危險源安全評價報告
氧氣瓶安全風險事故樹分析
學校安全風險評估報告
淺述雙氧水生產過程危害評價及對策