采用火災爆炸危險指數評價法、池火災傷害數字模型分析法、事故樹分析法對易燃易爆液體儲罐區火災爆炸事故的危險性進行定性、定量評價,從不同角度對這一重大危險源的危險性進行全方位描述。從而得出清晰、準確、全面的評價結論,為企業的決策者和企業的主管部門提供科學的安全管理依據。
易燃易爆;火災;爆炸;安全評價
易燃易爆液體作為原料或產品普遍存在于化工生產過程中,因此,大部分化工企業普遍分布著或大或小的易燃易爆液體儲罐區。如石化生產企業的石腦油、乙烷、甲醇、乙醇、汽油、丙酮等儲罐區;儲存企業的石油庫、危險化學品倉庫等儲罐區。由于易燃易爆液體儲存構成危險源的臨界量僅20t,因此上述儲罐區一般都屬于重大危險源。這些場所,事故發生的風險值高,波及面廣,事故后果嚴重,必須重點進行安全評價。
大量事故案例表明,火災爆炸事故是易燃易爆液體儲罐區多發事故,究其原因,主要是易燃易爆液體本身固有的危險性以及儲存設施不健全和安全管理不利造成的。
對一系統的安全評價,要想使得出的結論準確、清晰、全面,就必須選擇恰當的評價方法。目前已開發出數十種安全評價方法,由于每種評價方法均具有不同的特點和不同的適用范圍,因此,如果評價方法選擇不當,就可能得出不切合實際的評價結論。
對一種可能發生的事故不但要知道其后果,而且要查明引起事故發生的直接原因,只有這樣,對其評價才有意義。因此,針對易燃易爆液體儲罐區的火災爆炸事故,應從事故后果的嚴重程度、事故發生的概率以及導致事故發生的直接原因三方面入手進行評價,得出的結論才算完整。對易燃易爆液體儲罐區的火災爆炸事故進行定量評價,要綜合各種評價方法的特點和實用性,如采用美國道化學公司的火災、爆炸危險指數法,可以評價出火災爆炸事故發生后的影響范圍,即暴露區域面積,并可以計算出暴露區域的財產和停工損失;還可采用池火災傷害數學模型分析法,從另一角度評價事故發生后其熱輻射強度對周圍設施、人員的傷害程度。采用這2種評價方法同時進行定量評價,可以從不同角度評判事故發生后的嚴重程度,并可以相互印證其評價結果的準確性。利用道化學和池火災傷害數學模型分析法定量分析事故的影響范圍和傷害程度后,還要尋找一種方法,評價導致事故發生的直接原因和求出事故發生的概率,事故樹分析法最具上述特點。因此,可利用事故樹分析法評價分析易燃易爆液體儲罐區的火災爆炸事故原因。通過采用上述3種安全評價方法,對易燃易爆液體儲罐火災爆炸事故從不同角度進行評價,基本可以得出全面、清晰、準確的評價結論。
下面以某瀝青廠汽油儲罐區的安全評價為例,采用以上3種方法對易燃易爆液體儲罐區的火災爆炸事故進行分析。
某瀝清廠輕質油罐區的防火堤長105m、寬64m,防火堤內有8個3000m3儲罐。其中2個汽油儲罐,6個柴油儲罐,防火堤中間的隔提將2個汽油儲罐和2個柴油儲罐分割為一個區域。汽油泄漏易引起火災爆炸事故,而且事故后果很嚴重,本文以汽油泄漏引起的火災爆炸事故進行安全評價。
1 火災、爆炸危險指數評價法
采用道化學公司(DOW)火災、爆炸危險指數評價法(第7版),確定火災、爆炸的影響范圍。下面所有參數取值均來自該方法對應的參數取值表,由于篇幅受限,表格略。
① 物質系MF的選取:查物質系數和特性表,MF取16。
②一般工藝危險系數F1的選取:包括“基本系數、防熱反應、吸熱反應、物料處理與輸送、封閉單元或室內單元、通道以及排放和泄漏控制”7個取值項。對應的取值分別為:1、0、0、0.85、0.45、0、0.50。F1為7個取值之和,F1取2.80。
③特殊工藝危險系數F2的選取:包括基本系數、毒性物質、負壓操作、粉塵操作、壓力釋放等13個取值項。就汽油儲罐各項取值為:1、0.2、0、0.50、0、0.2、0、1.2、0.1、0.1、0、0、0。F2為13個取值項之和,F2取3.30。
④單元危險系數F3的計算:單元危險系數F3的值為一般工藝危險系數F1與特殊工藝危險系數F2的乘積。計算F3為9.24。
⑤火災、爆炸指數F&EI的計算:火災、爆炸危險指數F&EI是工藝單元危險系數F3和物質系數MF的乘積。計算F&EI為147.84。查該方法相應的火災、爆炸指數與危險等級的對應關系表,得出,汽油儲罐一旦發生火災爆炸事故,其危險等級屬于很大。
⑥爆炸影響半徑計算:爆炸半徑計算公式為:
R=0.256×(F&EI)=0.256×147.84=37.84m。
⑦爆炸影響面積計算:爆炸影響面積
S=3.14R2=4498.43 m2。
由于事故影響范圍內的財產價值估計有困難,所以一般只評價到影響面積即可。
⑧安全措施補償:安全措施可以分類3類,分別為工藝控制、物質隔離和防火措施。查安全措施補償系數表,經過計算,采取補償措施后,汽油儲罐發生火災爆炸事故的損失可以降低到未采取安全措施損失的70%。
2 池火災傷害數學模型分析法
采用池火災傷害數學模型分析法進一步確定影響程度,被評價的汽油罐區防火堤長105m、寬32m、高約1.2m。罐體一旦破裂或操作失誤外溢,液體將立即沿著地面擴散,將一直流到防火堤邊,形成液池。遇明火將形成池火。
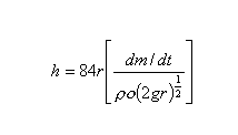
① 池火火焰高度計算
式中:h——火焰高度,m;
r——液池當量園半徑,
r=(105×32/3.14)0.5=32.71m;
ρo——周圍空氣密度,ρo=1.293kg/m3;(標準狀態);
g——重力加速度,9.8m/s2;
dm/dt——燃燒速度,dm/dt=0.086kg/m2·s(查可然液體燃燒速度表)。
經計算,池火燃燒火焰高度h=77.74m。
②池火燃燒時放出的總熱輻射通量
式中:Q——總熱輻射通量,W;
η——效率因子,可取0.13~0.35;
he——液體燃燒熱,查物質系數和特性表,汽油燃燒熱
hc=43.7×106J
計算后得Q=276291.5kW。
③目標入射熱輻射強度
距離池中心某一距離(x)處的人射熱輻射強度為:
I=Qtc/4πx2
式中:I——熱輻射強度,W/ m2;
Q——總熱輻射通量,W;
tc——熱傳導系數,取值為1;
x——目標點到液池中心距離,m。
汽油罐區東北25m處為加壓泵房系統,西北100m處為廠區鍋爐房,其余鄰面無設施,因此取x=25、100m計算I值。為了進一步查明其影響范圍程度以及驗證前述道化學方法評價結論的準確性,再取x=30、37.85、45、55、65、75、85、100計算其對應的I值。計算結果見表1。
表1 不同距離下熱輻射強度模擬值
|
距離(m) |
熱輻射強度(kW/m2) |
|
25 30 37.5 45 55 65 75 85 100 |
35.2 24.4 15.4 10.9 7.3 5.2 3.9 3.0 2.2 |
火災損失:火災通過熱輻射方式影響周圍環境。當火災產生的熱輻射強度足夠大時,可使周圍的物體燃燒或變形,強烈的熱輻射可能燒毀設備甚至造成人員傷亡等。
火災損失估算建立在熱輻射強度與損失等級的相應關系上,池火災傷害數學模型分析法介紹了不同熱輻射強度造成傷害和損失的關系,其關系見表2。
表2 不同熱輻射強度所造成的傷害和損失
|
熱輻射強度kw/m2 |
對設備的損壞 |
對人的傷害 |
|
37.5 |
操作設備全部損壞 |
1%死亡(10s) 100%死亡(1min) |
|
25 |
在無火焰,長時間輻射下,木材燃燒的最小能量。 |
重大燒傷(10s) 100%死亡(1min) |
|
12.5 |
有火焰時,木材燃燒,塑料熔化的最低能量。 |
1度燒傷(10s) 1%死亡(1min) |
|
4.0 |
|
20s以上感覺疼痛,未必起泡 |
|
1.6 |
|
長期輻射無不舒服感 |
根據前面計算所得I值,對照表2,可得出如下結論:
汽油罐區東北方向25m處的加壓泵房將被燒毀,人員在1min內不及時撤離,將會造成全部死亡;而西北方向100m處的鍋爐房,幾乎不受影響。同時也驗證了半徑在37.85m內的設施和人員將嚴重被破壞和燒傷。半徑在37.85~55m以內的設施和人員也將受到不同程度損傷,半徑在55~85m以內的設施和人員會受到輕微損傷。半徑在85m以外的設施和人員幾乎不受影響。該評價結論和道化學方法的評價結論基本吻合,但又進一步進行了廣泛分析。
3 火災、爆炸原因事故樹分析
事故樹評價最突出的優點是可以評價出事故發生的概率和找出事故的直接原因事件,并可以分析出事故的潛在原因事件。由于事故的直接原因事件概率不易統計,所以目前一般不作事故概率計算,但可以進行定性分析,找出事故原因事件,這是十分重要的。汽油罐區的火災爆炸事故樹見圖1。評價分析如下:
圖1 汽油罐區火災爆炸事故樹
① 結構函數式:
② 最小割集
通過分析該事故樹12個基本事件,可以得出下列30個最小割集:
③ 結構重要度分析
根據以上結果,運用結構重要度近似判別式,可以計算出12個基本事件和1個條件事件的結構重要度系數。計算結果如下:
由于條件事件a存在于每一個割集中,因此其結構重要度系數IФ(a)最大:
事件X8、X9、X10、X11、X12、是5個3階割集和1個4階割集中的事件,其結構重要度系數IФ(8)、IФ(9)、IФ(10)、IФ(11)、IФ(12)相等;
事件X1、X2、X3、X4、X5、是5個3階割集中的事件,其結構重要度系數IФ(1)、IФ(2)、IФ(3)、IФ(4)、IФ(5)相等;
事件X6、X7是5個4階割集中的事件,其結構重要度系數IФ(6)、IФ(7)相等;
由此得出結構重要順序:
IФ(a)>IФ(8)=IФ(9)=IФ(10)=IФ(11)=IФ(12)> IФ(1)=IФ(2)=IФ(3)=IФ(4)=IФ(5)> IФ(6)= IФ(7)
由圖1事故樹分析可知,火源與達到爆炸極限的混合油氣構成油罐區燃爆事故發生的要素。條件事件a(達到爆炸極限濃度)結構重要系數最大,是燃爆事故發生的最重要條件,這就要求采取針對措施,如在儲罐附近安裝氣體報警裝置,對混合氣濃度進行監測,一旦接近危險濃度即行報警,使管理人員立刻采取預防措施,可避免事故發生。構成油品泄漏的基本事件結構重要度次之,由此可知,油罐的密封是否良好在防止燃爆事故發生中占據著十分重要的地位。另外,加強油罐區安全管理,嚴禁吸煙和動用明火,防止鐵器撞擊,防止產生靜電火花以及罐區內電氣設備要符合防火防爆要求等,也是防止燃爆事故發生的必要條件。
對于重大事故的安全評價,如果只采用一種方法來分析,往往帶有局限性和片面性,如果結合評價方法的特點、使用范圍和應用條件,對危險因素從不同角度,采用不同的評價方法進行評價分析,評價結論比較完整和全面。通過不同的評價方法進行評價,即可以對事故的風險進行定量評估,又能定性的找出導致事故發生的直接原因事件,從而有針對性的制定安全對策措施,最大限度地避免事故發生。
以上通過汽油罐區的火災爆炸事故案例,對易燃易爆液體儲罐區火災爆炸事故的評價方法選擇和評價過程的介紹可以看出,對于易燃易爆液體儲罐區火災爆炸事故的評價,首先應采用美國道化公司的火災爆炸危險指數法,評價出火災爆炸事故的影響范圍;其次利用池火災傷害數學模型分析法,評價出事故對周圍設施和人員損傷程度,同時還可以對前述道化學方法的評價結論進行驗證;最后建立火災爆炸事故樹,分析該事故發生的概率(必須有基本原因事件發生的記錄或經驗概率值)和找出導致火災爆炸事故發生的基本原因事件,并求出各原因事件的主次作用,為安全對策措施的輕重緩急排序提供科學依據。
(蘆雙京)
安全評價檢測檢驗機構監管工作二十條
《涉路施工安全評價技術規范》解讀
某熱電廠安全評價
危化品建設項目安全驗收評價
陸上石油天然氣站場安全風險分級評估…
陸上石油天然氣井場安全風險分級評估…
安全管理體系評價辦法
環保管理體系評價辦法
風險評價的方法
危險源分類
安全生產風險評價報告
最小割集與最小徑集在事故樹分析中的…
危險源的分類
幾種常見的安全評價方法
安全風險評價方法對照表
安全評價機構資質說明