引言:垃圾焚燒是目前垃圾處理的主要方法,焚燒過程中產生的熱量可以用到發電中,實現對能源的循環利用,減少排放和滿足環保要求,余熱發電技術使用水或者低沸點工質發電已經成為回收余熱資源的有效途徑。目前垃圾焚燒廠煙囪入口煙氣溫度在150℃左右,會造成比較大的余熱損失,利用有機朗肯循環進行低沸點有機工質發電可以有效回收低溫余熱,在低品位熱能利用方面具有較大優勢,并且能降低二氧化碳和氮氧化物的排放。
1 垃圾焚燒余熱發電概述
焚燒是垃圾處理的主要方式之一,垃圾中的廢物將會被焚燒成二氧化碳和水,釋放出的余熱可以繼續應用到發電當中。相比于填埋、堆肥處理,焚燒法需要占用的空間更小,所以焚燒處理也成為了目前垃圾處理的主流。由于焚燒法會產生大量余熱,所以利用余熱發電也成為焚燒垃圾的發展方向之一。余熱屬于二次能源,主要是指生產過程中被釋放出來的可利用熱能,根據溫度不同可以劃分為低溫(100-200℃)可利用余熱、中溫(200-500℃)可利用余熱、高溫(500℃以上)可利用余熱。垃圾焚燒廠的煙囪入口150℃左右的余熱屬于低溫余熱,可以利用該余熱進入朗肯循環發電。
2 垃圾焚燒低溫余熱發電工藝
2.1 垃圾焚燒低溫余熱發電工藝處理流程
垃圾焚燒低溫余熱發電系統包括垃圾接收系統、垃圾焚燒系統、熱能利用系統、煙氣處理系統、爐灰渣處理系統等。垃圾焚燒發電廠中,垃圾進廠后經過地磅房稱重后送入卸料大廳;為了能提升垃圾的熱值,垃圾倉內的垃圾會發酵5-7天,通過垃圾吊倒料,形成的滲濾液收集到專門的滲濾液池,將發酵好地抓入垃圾料斗。垃圾焚燒在專門的焚燒爐中進行,會經過干燥段爐排、燃燒段爐排和燃燼段爐排使垃圾充分燃燒,根據規范規定,需要將煙氣的溫度控制在850℃以上,保證停留時間超過2秒。
利用中、高溫余熱時,垃圾焚燒的煙氣進入余熱鍋爐中,通過鍋爐受熱面傳遞熱量,然后加熱鍋爐工質,工質蒸發推動汽輪機組發電。在煙氣處理工作中,將余熱鍋爐排出的煙氣引入到半干式脫酸反應塔旋轉霧化器中,用堿性液體吸收煙氣中的酸性物質;后續煙氣經過活性炭噴射系統、布袋除塵器后進入到排放煙囪中,煙囪上的在線監測系統對排放過程實施監控。
2.2 煙氣余熱利用ORC系統
余熱鍋爐排出的煙氣經脫酸、除塵等凈化處理后,煙氣溫度在150℃左右,低溫余熱仍可進一步利用。在煙氣低溫余熱利用ORC系統中,利用有機工質進行朗肯循環,其系統配置如圖1所示,有機工質在蒸發器內定壓吸熱,然后在膨脹機內絕熱做功,乏汽在冷凝器中定壓放熱,最后在工質泵內進行絕熱壓縮,再回到原來的動力循環過程。使用有機工質可以比較好地利用低溫余熱,提升系統的能源利用效率,并降低二氧化碳排放,系統的熱源利用效率會有比較大的提升,從而充分帶動系統發電,讓系統的熱能轉變為電能,乏汽可以凝結為液態達到回收能源的目的。
3 垃圾焚燒低溫煙氣余熱發電工質選擇
3.1 工質選擇的基本原則
ORC發電系統的工質選擇十分重要,選擇過程中應該充分考慮工質的經濟性、安全性和技術性。工質必須具有較低的臨界溫度和臨界壓力,較低的蒸汽過熱要求并且粘度較低,以及較小的體積比,工質應具有適當的熱穩定極限,和發動機材料、潤滑油都具有較好的相容性。
除性能要求外,工質也要滿足環保的要求,而且要控制工質的毒性和滿足化學穩定性要求,在經濟性上也要足夠低廉,并且輸送儲存都比較方便。
3.2 煙氣余熱利用ORC系統
選擇工質時,最重要的在于工質的熱力學性能,將會決定設備的尺寸、穩定性、環保水平很經濟性。本文對常用工質R245fa、R600a和R601a進行比較進行比較。圖1、圖2分別為系統的配置和循環對應的T-s圖,有機工質在蒸發器定壓吸熱(4-1過程),然后在膨脹機內絕熱膨脹做功(1-2過程),從而帶動發電機發電,乏汽在冷凝器完成定壓放熱(2-3過程),最后通過工質泵內進行絕熱壓縮(4-1過程), 然后再回到蒸發器,完成有機朗肯循環。

圖1 ORC余熱發電

圖2 ORC循環T-s
1-2過程為絕熱做功過程,做工的計算公式為:
2-3定壓放熱過程,放熱為:
3-4過程是絕熱壓縮過程:
4-1過程是定壓吸熱過程,吸熱為:
系統的循環熱效率為
3.3 計算結果分析
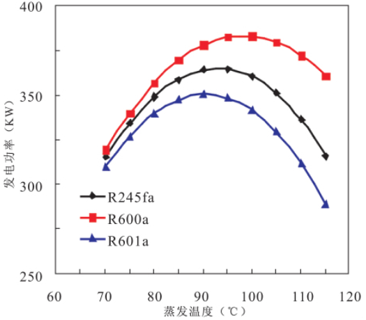
ORC系統凈輸出功率隨著蒸發溫度升高先增大后減小,如圖3所示,在蒸發溫度范圍內,三種工質的最大凈輸出功率為385kW、365kW、350kW,三種工質達到最大凈輸出功率時溫度為100℃、95℃和90℃。根據工質的參數數據,工質的臨界溫度越低,系統就會有越大的凈輸出功率,就需要越高的蒸發溫度。所以為了獲得較高系統輸出功率,應該選擇臨界溫度更小的工質。

圖3 發電功率和蒸發溫度的關系
根據圖4結果,系統的熱效率隨著蒸發溫度的升高增大,蒸發溫度相同時,隨著工質臨界溫度的升高,系統的熱效率逐漸降低。

圖4 發電效率隨蒸發溫度的變化
ORC系統排煙溫度隨著蒸發溫度變化的關系如圖5所示,系統的排煙溫度隨著蒸發溫度的升高而升高,在蒸發溫度相同的情況下,工質的臨界溫度越低,系統就的排煙溫度就會越低。

圖5 排煙溫度隨蒸發溫度的變化
經過上述分析,ORC系統的蒸發溫度應該控制在70-11℃,并且系統的凈輸出功存在極大值,綜合分析工質對環境影響潛能值,使用R600a工質比較有效,根據蒸發溫度為100℃設計,ORC系統可以獲得385kW的發電功率,全年可以節約950噸標煤,并減少2250噸二氧化碳,以及降低氮氧化物的排放,有非常好的節能減排效果。
結束語:垃圾焚燒低溫余熱發電的系統設計中,設計人員應該了解不同工質的屬性,并根據系統的要求正確選擇工質;有工質的蒸發溫度,對發電功率、發電效率和排煙溫度有顯著影響,工質選擇時應予以綜合考慮。
垃圾焚燒煙氣超低排放改造技術探討
生活垃圾焚燒煙氣污染物的控制與處理…
乙烯基酯玻璃鋼在垃圾焚燒煙氣凈化系…
生活垃圾焚燒煙氣凈化處理技術
垃圾焚燒廠煙氣凈化SCR改造設計和脫…
煙氣脫硫副產物的處理與處置
回轉窯焚燒系統危廢處置煙氣CO超標分析
垃圾焚燒發電中的排放氣體控制技術
影響大氣污染的主要因素是什么?
焦爐煙氣脫硫脫硝凈化技術與工藝
硫化物的主要去除方法
脫硫方法的分類
中國CCUS技術發展趨勢分析
高爐煤氣干法除塵布袋周期破損原因分…
新型干法水泥窯捕集純化(減排)二氧…
我國大氣污染的原因分析以及解決措施…