摘要:回轉窯熟料生產過程中SO2主要來源于原材料和燃料中,其中影響最大的原材料是石灰石。并根據工藝系統的平衡計算,實際生產中各工藝部位對硫的吸附能力不同,其中生料系統對硫的吸附能力最強,在40%~50%之間。如何通過理論分析,通過對原材料指標的合理控制以及對工藝系統的合理優化,可以有效地控制廢氣中SO2的排放。
關鍵詞:SO2排放;平衡計算;控制措施
1SO2在水泥系統中的不同形態
1.1煙氣SO2的來源
水泥窯系統中的硫是由原材料和燃料帶入的。原料中的硫以有機硫化物、硫化物(簡單硫化物或者復硫化物如硫鐵礦)或者硫酸鹽的形式存在,單質硫可以忽略不計。
1.2硫的循環
原料中存在的硫酸鹽在預熱器系統通常不會形成SO2氣體,大體上都會進入窯系統。其中一部分硫酸鹽會在窯內高溫帶發生分解,生成的SO2氣體隨窯氣向窯尾運動,在到達最低兩級預熱器等溫度較低區域時,冷凝在溫度較低的生料上,并隨生料沉集一起進入窯內,形成一個在預熱器和窯之間的循環,而未分解的硫酸鹽則會隨著熟料離開窯系統。原料中以其它形式存在的硫(主要以硫化物形式存在),則會在300~600℃被氧化生成SO2氣體,主要發生在五(四)級預熱器的第二級旋風筒。
1.3燃料中的硫
分解爐燃料燃燒生成的SO2會被分解爐存在的大量活性CaO吸收,生成的CaSO4隨物料經最低級旋風筒由窯尾煙室進入窯內。窯頭喂入的燃料產生的SO2氣體會和硫酸鹽在窯內高溫帶分解產生的SO2氣體經歷類似的歷程。尾煤分解爐中的尾煤燃燒過程以及吸收過程相對于窯頭短,殘留SO2要多,窯尾噴煤對廢氣中的SO2影響較大。
1.4 SO2的排放
原料中的硫氧化產生的SO2在通過上級旋風筒時會被部分吸收,其余則隨廢氣一道從預熱器排出。如果廢氣用于烘干原料,則SO2在原料磨中進一步被吸收。在溫度低于600℃的情況下,CaCO3對SO2的吸收效率要遠低于CaO。上面兩級預熱器中CaCO3分解率極低,且僅有少量CaO被煙氣從高溫部分帶上去,因此吸收效率很低。
1.5 窯系統中的SO2
窯內SO2一方面主要來自于CaSO4熱分解,另一方面來自于硫酸鹽與煤粉中的碳反應。

實驗表明,當窯內含氧量大于4%,或避免煤粉未燃盡,使硫化物與碳無接觸機會,SO2的揮發量就會降低。窯內排風足夠,就會減少SO2,硫化物在窯內停留時間長及燒成溫度高,有利于SO2的增加,因此,操作上提高窯速、控制燒成溫度是正確可行的。
1.6生料制備系統對SO2的影響
對于預分解窯生產線,其生料制備系統與熟料燒成系統是設計為一個整體的,生料粉磨需要使用燒成廢氣的余熱烘干,而且兩者共用一個廢氣處理系統。由于生料磨的能力設計得比窯大一些,所以存在磨停窯不停的情況。生產實踐發現,當窯磨聯動運行的時候,所排廢氣中的SO2要遠低于停磨開窯的時候,說明生料粉磨系統對水泥窯廢氣有脫硫作用。當窯磨聯動運行的時候,含有SO2的窯尾廢氣進入生料磨以后,就會與生料中的CaCO3在O2的參與下發生如下反應:
2SO2+2CaCO3+ O2= 2CaSO4+2CO2
這就是生料磨具有脫硫功能的原理。通常情況下這種反應是十分緩慢的,但在生料磨內情況就不同了,由于原料的烘干將產生大量水蒸氣、用于烘干的窯尾廢氣具有較高的溫度、CaCO3在粉磨過程中會產生大量的新生界面,這一反應速度被大大加快。生料粉磨系統對SO2的吸收率與原料的濕含量、系統氣體氧含量、系統溫度、物料循環量、生料粉磨細度,以及廢氣在磨內的停留時間有關。據國外有關資料介紹,由于窯磨運行工況以及原燃材料含硫量的不同,當窯磨聯動運行時,生料粉磨對SO2的吸收率能達到20%~70%。窯磨聯動運行不僅可以減少生料成分(受窯灰影響)、燒成用風、余熱利用的波動,對穩定燒成工況十分有利,而且還是消減窯尾廢氣中SO2的工藝措施。
2 SO2排放平衡計算
我公司正常生產過程中廢氣排放中硫基本不超標,排放量基本維持在50-60mg/Nm3左右,當停一臺輥壓機時硫排放指標達120-130mg/Nm3左右,超出國控標準100mg/Nm3。在目前生產過程中,在生料配料中添加電石渣來進行脫硫,脫硫效果較好,可維持在控制標準以下。以下為公司針對硫排放進行的分析;
2.1原燃材料中硫含量(表1)
表1為各種原燃材料中的硫含量。
表1原燃材料中硫含量

2.2系統中各環節對硫的吸收
(1)在預分解窯系統中,原煤中所含的硫在燃燒過程中生成SO2,被堿性氧化物吸收形成硫酸鹽,部分與物料夾雜在一起形成結皮,一部分冷卻后被固定到熟料中。燒成系統中減少硫的揮發主要是減少原煤中的硫含量;第二就是降低硫的揮發系數,查閱相關資料,影響硫的揮發系數主要因素為硫堿比,硫堿比越高揮發系數也越高,通常控制在0.5-0.8之間,微山公司硫堿比基本在控制范圍內。
熟料中硫含量為0.36%,折合生料為0.35%÷1.58=0.22%。
燒成系統中的吸收率為(0.24%-0.22%)÷0.24%=8%,吸收能力較弱。
(2)生料系統對硫的吸收
由表1可知,理論噸生料中硫含量為0.41%。
窯回灰中硫含量為0.61%,通過標定每小時回灰為30噸左右。
正常生產時兩臺輥壓機臺時為400t/h,窯尾硫排放60mg/Nm3,標定時標況風量為550000Nm3左右。
停一臺輥壓機時臺時為200t/h,窯尾硫排放120mg/Nm3,標定時標況風量為600000Nm3左右。
計算方式如下;
a、輥壓機同時開機時:
理論生料中的硫:400t×0.41%+30t×0.61%=1823kg
廢氣排放中的硫:550000Nm3×60mg/Nm3×80/64=41.25kg
實際生料中的硫:(400+30)t×0.24%=1032kg
臺時為400t/h時,生料系統吸收的硫為1823-41.25-1032=749.75kg
生料系統硫吸收率為749.75/1823=41.1%
b、當停一臺輥壓機時:
理論生料中的硫:200t×0.41%+30t×0.61%=1003kg
廢氣排放中的硫:600000Nm3×120mg/Nm3=72kg轉化為SO3=90kg
實際生料中的硫:(200+30)t×0.24%=552kg。
根據以上計算臺時200t/h時,生料系統可吸收的硫為374.875kg
理論推算可知廢氣排放中硫含量為:1003-374.875-552=76.125,可以達到平衡。
根據上述計算可知硫的排放過程中,在燒成系統中是一個復雜的循環過程,燒成系統吸收能力較弱,生料的吸收能力較強,生料臺時越高吸收硫越多,所以在停一臺輥壓機時超出一臺輥壓機生料量的吸收能力的硫形成逃逸造成硫超標。公司盡量保證兩臺輥壓機同時開機既可以保證生料的穩定又可以保證硫排放達標。在排放超標時添加電石渣來進行脫硫,目前的使用效果較好,用量較少效果明顯。
3 根據排放標準計算石灰石硫含量的控制標準
以5000t/d的回轉窯為例,以1h為計算單位,窯灰不外排。假定:廢氣的SO2含量剛好滿足排放要求,為50mg/Nm3,廢氣量為550000Nm3/h,熟料產量為250t/h,實物煤耗為130kg/t,熟料的SO3含量為0.3%,生料耗為1.55,煤全硫為0.70%,濕粉煤灰硫為0.8%,鐵質校正原料全硫為0.33%,生料配料中石灰石、濕粉煤灰、鐵質校正原料的使用比例分別為83%、11%、6%,則可通過計算求出入磨石灰石的硫含量。計算過程如下:
①熟料中的硫:
0.4%×250×1000×32÷80=400kg/h
②廢氣中的硫:
500×520000×10-6×32÷64=13kg/h
③煤帶入的硫:
0.48%×125×250=150kg/h
④濕灰帶入的硫:
250×1000×1.59×9.5%×0.87%=328.5kg/h
⑤鐵質校正原料帶入的硫:
250×1000×1.59×7.5%×0.14%=41.7kg/h
⑥石灰石帶入的硫:
400+13-(150+328.5+41.7)×50%=152.9kg/h
⑦入磨石灰石的硫含量:
152.9÷(250×1000×1.55×79.5%)×100%=0.05%
從以上計算看出,當廢氣的SO2排放濃度≤50mg/Nm3時,入磨石灰石的硫含量應小于0.05%。
4 根據目前工藝運行狀況降低廢氣SO2排放的措施
(1)嚴格控制進廠原燃材料的硫含量,重新制定驗收標準,根據理論計算值降低硫含量驗收標準。并依據使用的原材料成分和成本比例,制定易燒性好的配料方案。
(2)電石渣的進廠與存放,嚴格控制電石渣的進廠指標,其次,制定合理的存放周期,電石渣存放時間較長會導致Ca(OH)2吸收空氣中的CO2生成CaCO3,由于在溫度低于600℃的情況下,CaCO3對SO2的吸收效率要遠低于CaO,所以要求化驗室做出電石渣失效時間控制合理庫存,并且做好覆蓋工作隔絕空氣。
(3)生料系統中,在保證用電成本不升高的前提下,盡量降低生料細度、提高生料比表面積,提高輥壓機的循環負荷。提高廢氣在生料系統中與生料的反應效率。保證輥壓機V選料幕均勻,防止偏料而導致風短路。
(4)當停輥壓機時,停一臺輥壓機后,系統用風改變,有50%—60%廢氣不經過生料系統而直接由增濕塔經過窯尾收塵從廢氣煙囪排走,導致大量SO2不經過生料系統脫硫,造成排放指標超標。這時適當開啟增濕塔噴水裝置,增加水濃度,使廢氣在增濕塔至尾排管道中的水分增加,加快SO2與水的反應,在于窯尾電袋收塵處與生料中的CaO、CaCO3等反應,加大降硫效果。
(5)當原材料中的硫超標時,適時開啟窯灰外排設施。減少固態硫在生料中的循環,降低二氧化硫的產生。
(6)回轉窯的操作方面,提高窯尾過剩空氣系數,窯內排風足夠,減少SO2,此外,硫化物在窯內停留時間長及燒成溫度高,有利于SO2的增加,因此,操作上適當提高窯速、合理控制燒成溫度,尾煤分解爐中的尾煤燃燒過程以及吸收過程相對于窯頭短,殘留SO2要多,窯尾噴煤對廢氣中的SO2影響較大,提高三次風溫,適當降低窯尾用煤。
(7)環保成本計算公式
1)廢氣排放當量計算公式:實測(SO2、NOX、FC)排放濃度(mg∕m3)×風量(總排放量m3)÷106(mg∕m3與kg∕m3換算系數)÷換算系數(SO2、NOX換算系數為:0.95;FC換算系數為:2.18)=換算計費當量值。
2)SO2、NOX、FC排污費計算公式:換算計費當量值×當量檔次價格。
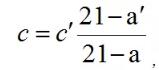
3)實測濃度與折算濃度的換算關系:

C為折算濃度,c'為實測濃度,a'為標準氧氣濃度10%,a為實測氧氣濃度。
所以實際計費標準與風量大小無關,折算濃度與實測含氧量關系很大,含氧量越高折算濃度越高,所以要針對生料系統以及窯尾廢氣系統進行密封堵漏,降低窯尾氧氣含量。
5 結束語
水泥廠廢氣中SO2的主要來源是原燃材料,其中石灰石影響最大;在整個工藝系統中,生料磨系統有很強的自我吸收能力,通過計算,吸附能力達到40%以上,可以通過窯系統和生料系統的聯動開機來實現降低SO2排放;通過理論計算,可以制定合理的原材料驗收標準,從而降低廢氣中SO2的排放;根據廢氣SO2的折算公式可以看出,合理地降低窯尾廢氣中的氧含量,也有效降低折算濃度。
垃圾焚燒煙氣超低排放改造技術探討
生活垃圾焚燒煙氣污染物的控制與處理…
乙烯基酯玻璃鋼在垃圾焚燒煙氣凈化系…
生活垃圾焚燒煙氣凈化處理技術
垃圾焚燒廠煙氣凈化SCR改造設計和脫…
煙氣脫硫副產物的處理與處置
回轉窯焚燒系統危廢處置煙氣CO超標分析
垃圾焚燒發電中的排放氣體控制技術
影響大氣污染的主要因素是什么?
焦爐煙氣脫硫脫硝凈化技術與工藝
硫化物的主要去除方法
脫硫方法的分類
中國CCUS技術發展趨勢分析
高爐煤氣干法除塵布袋周期破損原因分…
新型干法水泥窯捕集純化(減排)二氧…
汽車尾氣污染控制方法